kiril
Uploaded by
46 SLIDES
1283 VIEWS
630LIKES

Matriks dan Transformasi Linier

DESCRIPTION

Matriks dan Transformasi Linier. Dra. Dwi Achadiani, M.Kom. Vektor. Definisi: Vektor adalah besaran yang mempunyai arah dan besar, contoh: kecepatan, gaya, percepatan. ● ● Lambang : a : vektor a. Titik awal. Titik ujung. besar. arah.

1 / 46

Download Presentation

Matriks dan Transformasi Linier

An Image/Link below is provided (as is) to download presentation Download Policy: Content on the Website is provided to you AS IS for your information and personal use and may not be sold / licensed / shared on other websites without getting consent from its author. Content is provided to you AS IS for your information and personal use only. Download presentation by click this link. While downloading, if for some reason you are not able to download a presentation, the publisher may have deleted the file from their server. During download, if you can't get a presentation, the file might be deleted by the publisher.

E N D

Presentation Transcript

Playing audio...

  1. Matriks dan Transformasi Linier Dra. Dwi Achadiani, M.Kom

  2. Vektor • Definisi: Vektor adalah besaran yang mempunyai arah dan besar, contoh: kecepatan, gaya, percepatan. ● ● • Lambang : a : vektor a Titik awal Titik ujung besar arah

  3. Operasi vektor dalam bidang • Operasi penjumlahan dua vektor • Definisi: Jika a dan b dua vektor dengan titik awal yang sama, maka jumlah a dan b ( a + b ) adalah vektor yang merupakan diagonal jajaran genjang . a a + b b

  4. Sifat penjumlahan vektor • Operasi perkalian vektor dengan bil riel Sifat perkalian vektor dengan bil riel

  5. Kombinasi Linier

  6. adalah vektor-vektor Definisi: Jika di R²(atau di ), maka: dinamakan kombinasi linier dari • Panjang Vektor (Norm) Definisi: Panjang vektor di didefinisikan :

  7. Sudut antara dua vektor Sudut θ antara dua vektor di R², jika memenuhi persamaan berikut: , dengan

  8. Perkalian Silang Definisi: Jika 2 vektor di , maka: panjangnya 1 unit dan searah sumbu x

  9. panjangnya 1 unit dan searah sumbu y panjangnya 1 unit dan searah sumbu z z x y Maka vektordapat ditulis menjadi

  10. z d • Jarak dua titik yang berada pada dua ujung vektor Maka jarak antara titik A ke titik B adalah d, dengan: x y

  11. Bergantung Linier dan Bebas Linier Vektor- vektor : , apabila dengan tidak semua berharga nol, maka vektor disebut bergantung linier, sedangkan apabila semua berharga nol maka vektor disebut bebas linier.

  12. Vektor pembentuk ruang vektor Definisi: suatu himpunan vektor-vektor disebut sistem pembentuk ruang vektor V, ditulis V= bila setiap dapat ditulis sbg kombinasi linier dari

  13. Dimensi dan Basis • Dimensi Definisi: suatu vektor V dikatakan berdimensi n bila dapat diketemukan suatu himpunan n vektor-vektor V yang bebas linier Atau : maksimum banyaknya vektor-vektor V yang bebas linier .

  14. Basis Definisi: Setiap sistem pembentuk yang bebas linier disebut basis ruang vektor tersebut.

  15. MATRIKS Definisi: Matriks adalah sekumpulan bilangan yang disusun dalam sebuah empat persegi panjang, secara teratur, di dalam baris-baris dan kolom-kolom. Matriks di atas disebut matriks ukuran m x n

  16. Operasi Matriks • Operasi Kesamaan Dua matriks A dan B disebut sama, jika: • A dan B sejenis • Setiap unsur yang seletak sama. A = B, A ≠ C, B ≠ C

  17. 2.Penjumlahan dua matriks Definisi: Jumlah dua matriks A dan B yang sejenis adalah sebuah matriks C yang sejenis pula dengan unsur-unsur , dimana terdapat hubungan: .

  18. Sifat-sifat penjumlahan: • Komutatif : A + B = B + A • Assosiatif : A + (B + C) = (A + B) + C • Perkalian dengan skalar ( ) • Perkalian sebuah matriks dengan skalar ( ) • maka setiap unsur matriks tersebut terkalikan dengan skalar ( ). • , maka A = .

  19. Sifat-sifat perkalian matriks dengan skalar • (A + B) = A + B • ( + β ) A = A + β A • (β A) = β A

  20. 4. Perkalian dua matriks Definisi: Dua matriks A (m x n), dan B (p x q) didefinisikan hasil kalinya, jika n = p , maka hasilkali adalah matriks C (m x q) dengan unsur-unsur:

  21. Catatan: • Perkalian 2 matriks AB dapat didefinisikan, jika banyaknya kolom matriks A = banyaknya baris matriks B. • Hasil kali dua matriks AB adalah suatu matriks dengan banyaknya baris = banyaknya baris matriks A dan banyaknya kolom = banyaknya kolom matriks B. • Pada umumnya AB ≠ BA Contoh: 1 x 3 3 x 1 1 x 1

  22. 2 x 2 3 x 3

  23. Macam-macam matriks • Matriks bujursangkar Definisi: matriks bujursangkar adalah matriks dimana banyaknya baris = banyaknya kolom 2. Matrik satuan/ matriks identitas • Matriks bujur sangkar • Setiap unsurnya nol, kecuali didiagonal utama = 1

  24. Contoh : • A.I = I.A • I.I = I • Matriks segitiga • Matriks bujursangkar • Unsur di atas/di bawah diagonal utama adalah nol

  25. Contoh : • Matriks Tranpose • Tidak perlu bujursangkar • Setiap baris ditukar tempat dengan kolom

  26. Contoh :

  27. Sifat-sifat matriks transfose

  28. Contoh

  29. Matriks simetris • Matriks A disebut simetris apabila • Matriks Bujur sangkar • Contoh

  30. Matriks skew simetris • Matriks A disebut matriks skew simetri jika • Bujur sangkar • Contoh

  31. Matriks Skew simetris , maka Untuk I = j maka Jadi diagonal utama matriks skew simetris = 0

  32. Matriks Diagonal • Matriks bujursangkar • Semua unsur nol, kecuali didiagonal utama

  33. 9. Matriks Nol • Tidak perlu matriks bujur sangkar • Semua unsurnya nol A.0 = 0 A + 0 = A A.B = 0, apakah A = 0 ?atau B = 0? atau kedua-duanya nol

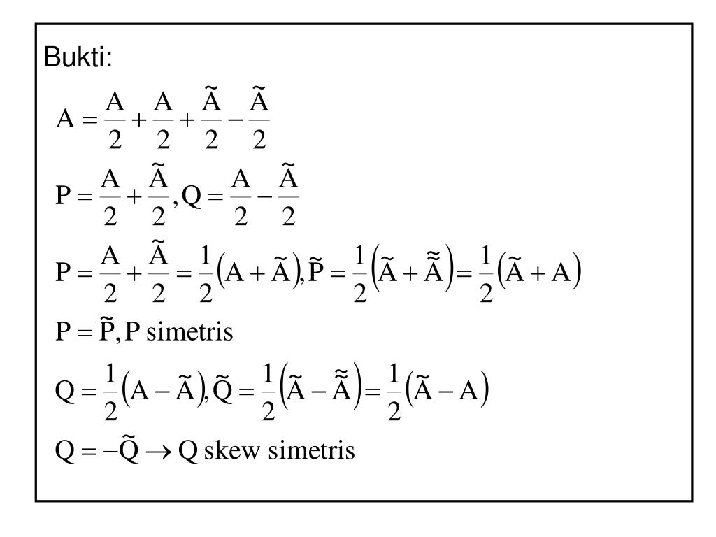
  34. Dalil: Sembarang matriks bujur sangkar dapat ditulis sebagai jumlahan dua matriks yang satu simetris yang lain skew simetris

  35. Bukti:

  36. Matriks Simetris Matriks Skew Simetris

  37. Cek

  38. Transformasi (operasi) Elementer pada Baris dan Kolom Matriks Transformasi Elamenter pada matriks adalah: • Penukaran tempat baris ke i dan ke j (baris ke i dijadikan baris ke j dan baris ke j dijadikan baris ke i), ditulis H (A) • Penukaran tempat kolom ke i dan kolom ke j (kolom ke i dijadikan kolom ke j atau sebaliknya), ditulis K (A) • Memperkalikan baris ke i dengan skalar ≠ 0, ditulis H (A) • Memperkalikan kolom ke i dengan ≠ 0, ditulis K (A) • Menambah baris ke i dengan kali baris ke j, ditulis H (A) ij ij i i ij

  39. Menambah kolom ke i dengan kali kolom ke j,ditulis K (A) Kadang untuk operasi (1) dan (3) dapat dilakukan dalam satu langkah : Menambah kali baris ke i dengan kali baris ke j, ditulis H (A) Demikian pula untuk untuk operasi (2) dan (4) Bila menggunakan operasi baris maka disebut operasi baris elementer (OBE) ij 2 1 j i

  40. Contoh:

  41. Invers Suatu Transformasi Linier Jika suatu transformasi elementer adalah: • A = H (B) = H (B) • A = K (B) = K (B) • A = H (B) = H (B) • A = K (B) = K (B) • A = H (B) = H (B) A = K (B) = K (B) -1 ij ij -1 ij ij -1 1/ i i -1 1/ i i -1 -1 ij ij ij ij

  42. Contoh

  43. Penggunaan OBE • Mencari Rank Matriks • Adalah jumlah maksimum baris/kolom yang bebas linier ( tidak semua unsur dalam suatu baris/kolom nol) • Mecari invers matriks • ( A:I ) ( I:A ) OBE -1

  44. Contoh Maka rank matriks A = 2

  45. 2. Carilah invers dari matriks

More Related