aimee
Uploaded by
35 SLIDES
593 VIEWS
350LIKES

Equilibrium calculations

DESCRIPTION

Equilibrium calculations . To view as a slide show, Click on the “Slideshow” on the menu bar, and then on “View Show” Click the mouse or press Page Down to go to the next slide Press the Escape key to leave the presentation Press Page Up to go back. Problem type #1 .

1 / 35

Download Presentation

Equilibrium calculations

An Image/Link below is provided (as is) to download presentation Download Policy: Content on the Website is provided to you AS IS for your information and personal use and may not be sold / licensed / shared on other websites without getting consent from its author. Content is provided to you AS IS for your information and personal use only. Download presentation by click this link. While downloading, if for some reason you are not able to download a presentation, the publisher may have deleted the file from their server. During download, if you can't get a presentation, the file might be deleted by the publisher.

E N D

Presentation Transcript


  1. Equilibrium calculations • To view as a slide show, Click on the “Slideshow” on the menu bar, and then on “View Show” • Click the mouse or press Page Down to go to the next slide • Press the Escape key to leave the presentation • Press Page Up to go back

  2. Problem type #1 • Given some information about the conditions before equilibrium and after equilibrium, find the equilibrium constant.

  3. Suppose a flask was made to be 0.500 M in NH3 initially, and when equilibrium was reached, the [NH3] had dropped to 0.106 M. Find the value of K for:N2 + 3H22NH3

  4. N2 + 3H22NH3

  5. N2 + 3H22NH3

  6. N2 + 3H22NH3

  7. N2 + 3H22NH3

  8. N2 + 3H22NH3

  9. N2 + 3H22NH3

  10. N2 + 3H22NH3

  11. N2 + 3H22NH3 • Let 2x be the amount of NH3 that reacts • Use stoichiometry of reaction!

  12. N2 + 3H22NH3 • Let 2x be the amount of NH3 that reacts • 2x = 0.500 – 0.106 = 0.394

  13. N2 + 3H22NH3 • Let 2x be the amount of NH3 that reacts • 2x = 0.500 – 0.106 = 0.394

  14. Problem type #2a • Given information about conditions before equilibrium and the equilibrium constant, find the concentrations when equilibrium is reached.

  15. For the reaction N2 + O2 2NO at 1700oC, K = 3.52x10-4. If 0.0100 mole NO is placed in a 1 – L flask at 1700o, what will [N2] be at equilibrium?

  16. For the reaction N2 + O2 2NO at 1700oC, K = 3.52x10-4. If 0.0100 mole NO is placed in a 1 – L flask at 1700o, what will [N2] be at equilibrium?

  17. For the reaction N2 + O2 2NO at 1700oC, K = 3.52x10-4. If 0.0100 mole NO is placed in a 1 – L flask at 1700o, what will [N2] be at equilibrium?

  18. 0.0100 - 2x = (1.88 x 10-2)x • 0.0100 = 2.02 x • x = 4.95 x 10-3 M = [N2] (also = [O2]) Note that because K was small, most of the NO became N2 and O2 Final [NO] = 0.0100 – 2(4.95 x 10-3) =1.00 x 10-4 M

  19. Problem type #2b • Given information about conditions before equilibrium and the equilibrium constant, find the concentrations when equilibrium is reached. • . . . .But the math doesn’t work out as nicely

  20. For the reaction F2 2F at 1000oC, K = 2.7 x10-3. If 1.0 mole F2 is placed in a 1 – L flask at 1000o, what will [F] be at equilibrium?

  21. For the reaction F2 2F at 1000oC, K = 2.7 x10-3. If 1.0 mole F2 is placed in a 1 – L flask at 1000o, what will [F] be at equilibrium?

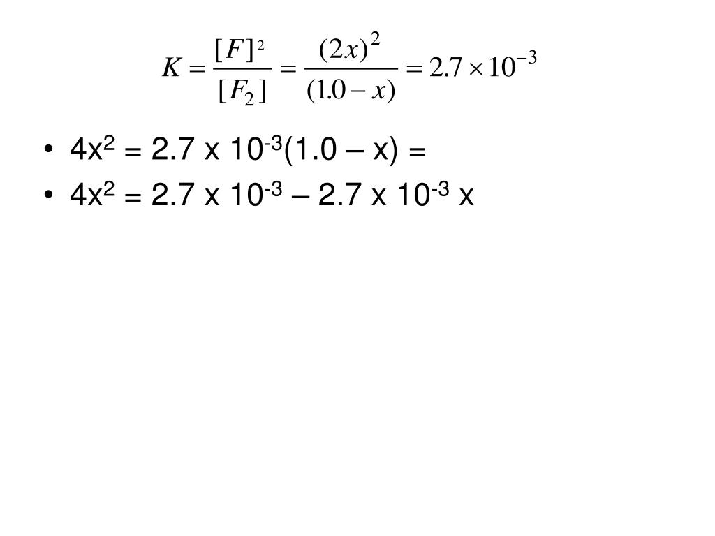
  22. For the reaction F2 2F at 1000oC, K = 2.7 x10-3. If 1.0 mole F2 is placed in a 1 – L flask at 1000o, what will [F] be at equilibrium?

  23. 4x2 = 2.7 x 10-3(1.0 – x) = • 4x2 = 2.7 x 10-3 – 2.7 x 10-3 x

  24. 4x2 = 2.7 x 10-3(1.0 – x) = • 4x2 = 2.7 x 10-3 – 2.7 x 10-3 x • This is a quadratic equation • Rearrange to the form ax2 + bx + c = 0 4x2 + 2.7x10-3x – 2.7 x 10-3 = 0 • a = 4 b = 2.7 x 10-3 c = -2.7 x 10-3

  25. 4x2 + 2.7x10-3x – 2.7 x 10-3 = 0 • a = 4 b = 2.7 x 10-3 c = -2.7 x 10-3

  26. 4x2 + 2.7x10-3x – 2.7 x 10-3 = 0 • a = 4 b = 2.7 x 10-3 c = -2.7 x 10-3

  27. We found x = 0.0256 M

  28. Don’t memorize. . . .

  29. Don’t memorize • UNDERSTAND

  30. Problem type 2c • Maybe next time . . . . . . .

More Related