1 / 19

Organic Chemistry

Part2 : Alkenes. Organic Chemistry. Alkenes One double bond Unsaturated hydrocarbons (carbons are NOT holding the maximum number of hydrogen atoms they can hold). 1. Common name. -ylene. C 8 H 16. C 4 H 8. The Vinyl group. The Allyl group. Alkyl group. ……………. …………………. Alkenes.

peigi
Download Presentation

Organic Chemistry

An Image/Link below is provided (as is) to download presentation Download Policy: Content on the Website is provided to you AS IS for your information and personal use and may not be sold / licensed / shared on other websites without getting consent from its author. Content is provided to you AS IS for your information and personal use only. Download presentation by click this link. While downloading, if for some reason you are not able to download a presentation, the publisher may have deleted the file from their server. During download, if you can't get a presentation, the file might be deleted by the publisher.

E N D

Presentation Transcript


  1. Part2 : Alkenes Organic Chemistry

  2. Alkenes • One double bond • Unsaturated hydrocarbons (carbons are NOT holding the maximum number of hydrogen atoms they can hold)

  3. 1. Common name -ylene C8H16 C4H8

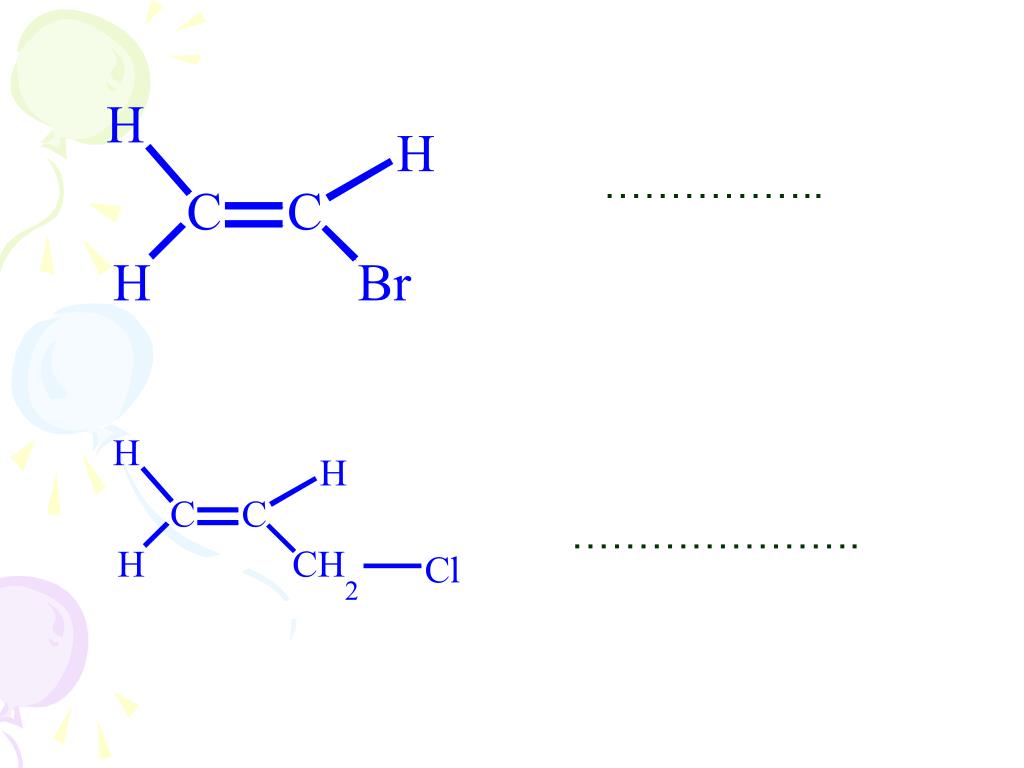
  4. The Vinyl group The Allyl group Alkyl group

  5. …………….. ………………….

  6. Alkenes 2. IUPAC name CnH2n • Ethene C2H4 • Propene C3H6 • Butene C4H8 • Pentene C5H10 • Hexene C6H12 • Heptene C7H14 • Octene C8H16 • Nonene C9H18 • Decene C10H20 …..ene

  7. IUPAC name

  8. IUPAC name

  9. Draw the structure and give the molecular formula for each of the following compounds. 1. Cis 3-Heptene 2. Cis Cyclohexene 3. trans-Cyclohexene

  10. Physical Properties of Alkenes

  11. Cycloalkenes CnH2n-2 (n=3,4,5,…)

  12. Isomer C4H8

  13. Isomer C4H8

  14. Isomer C5H10

  15. C5H10 + O2 C8H16 + O2 Reactions of Alkenes 1.Combustion reaction

  16. 2. Addition Reactions A characteristic reaction of compounds with a carbons-carbon double bond is a addition. -Hydrogenation reaction -Halogenation reaction (X2 / CCl4 ) -Hydrohalogenation reaction (HBr, HCl) -Hydration reaction (H2O)

  17. LOW High Reactive intermediated in organic chemistry

  18. 2. Additionreaction -Hydrogenation reaction (H2) Ni, Pd, Pt cat. -Halogenation reaction (X2 / CCl4 )

More Related