1 / 54

Journée « Christian LAVAULT » 5 juillet 2011

Journée « Christian LAVAULT » 5 juillet 2011. Une phase méconnue des pratiques algorithmiques (IX e -XV e siècles) Ahmed DJEBBAR Université des Sciences et des Technologies de Lille. Les algorithmes de la tradition arabe (IX e -XV e s.). Un ensemble d’instructions pour :

starr
Download Presentation

Journée « Christian LAVAULT » 5 juillet 2011

An Image/Link below is provided (as is) to download presentation Download Policy: Content on the Website is provided to you AS IS for your information and personal use and may not be sold / licensed / shared on other websites without getting consent from its author. Content is provided to you AS IS for your information and personal use only. Download presentation by click this link. While downloading, if for some reason you are not able to download a presentation, the publisher may have deleted the file from their server. During download, if you can't get a presentation, the file might be deleted by the publisher.

E N D

Presentation Transcript


  1. Journée « Christian LAVAULT »5 juillet 2011 Une phase méconnue des pratiques algorithmiques (IXe-XVe siècles) Ahmed DJEBBAR Université des Sciences et des Technologies de Lille

  2. Les algorithmes de la tradition arabe(IXe-XVe s.) Un ensemble d’instructions pour : - Calculer une solution exacte ou appro-chée d’un problème - Réaliser une construction - Etablir un résultat

  3. Origine du mot algorithme Algorithme Algoritmus Algorismus Alchorismus Al-Khwarizmi الخوارزمي

  4. Les sources de l’algorithmique arabe • Pratiques locales (arabes, persanes, égyptiennes, mésopotamienne) • Tradition indienne • Tradition chinoise (?) • Tradition grecque (?)

  5. SAVOIR-FAIRE  SAVOIR SAVANT * Deux traditions : - algorithmique - hypothético-déductive * Deux types de pratiques : - orales et instrumentales (mental & digital) - écrites : # Takht # Papier

  6. LES NUMERATIONS

  7. OPERATIONS DU CALCUL • Multiplication • Division • Addition • Soustraction • Procédés d’approximation des fractions • Racine carrée exacte et approchée • Racine cubique exacte et approchée • Racine nième

  8. Procédures arithmétiques • Test de primalité • Test pour déterminer les carrés et les cubes parfaits • Détermination des nombres parfaits • Détermination des nombres amiables

  9. Procédures trigonométriques • Calcul de p • Calcul de sin(1°), à partir de sin(3°) • Résolution de « l’équation de Kepler »

  10. Formules du calcul mental 15n = 10n + (10n)/2 14n = 15n – n 16n = 15n + n 25n = (100n)/4 10m/10n = 10m-n

  11. Formules du calcul mental(suite) ab = [(a+b)/2]2 – [(a-b)/2]2

  12. Algorithmes pour le takht • Produit avec translation et effaçage (debout ou couché) • Produit avec semi-translation (n2) • Produit sans translation - Technique du tableau

  13. ALGORITHMES POUR LE CALCUL APPROCHE

  14. Approximation d’une fraction

  15. Méthode d’Abû l-Wafâ (m. 997)

  16. Test pour les carrés et les cubes parfaits

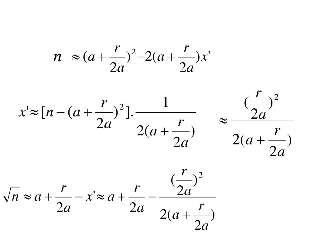
  17. Racine carrée approchée

  18. Racine cubique approchée

  19. Racine pième

  20. PROCEDES D’INTERPOLATION

  21. Al-Kashi, sin1°

  22. CARRES MAGIQUES

  23. Algorithmes de résolution de problèmes Algorithmes mentaux • Déterminer un ou plusieurs nombres pensés • Rechercher une ou deux bagues cachées • Déterminer le doigt qui porte la bague • Déterminer le nom du mois pensé ou le signe du zodiaque

  24. Procédé de l’inverse 2(2(2x-1)-1) = 1 1  1/2  1 + 1/2 = 3/2  3/2 + 1 = 7/4 (7/4)/2 = 7/8 = le capital

  25. P(x) = b; P(x1) = b1; P(x2) = b2 [x1(b – b2) – x2(b – b1)]/(b1 –b2) = x

  26. L’algorithme algébrique Un bien et dix racines égalent trente neuf dirhams • Tu divises les racines par deux : ce sera cinq dans ce problème; • Tu le multiplies par lui-même : ce sera vingt cinq; • Tu l’ajoutes à trente neuf : cela donnera vingt cinq; • Tu prends alors sa racine carrée : ce sera huit; • Tu en retrancheras la moitié des racines qui est cinq : il restera trois. 6. C’est la racine du bien que tu cherches; 7. Le bien est neuf.

  27. Solutions exactes ou approchées d’équations trigonométriques ou algébriques du 3e degré Habash al-Hâsib (IXe s.) Al-Khayyâm Sharaf ad-Dîn at-Tûsî (procédé de Ruffini-Hörner)

  28. Algorithmes et optimisation • Produit par translation : Pour un nombre à n chiffres, il y a n2 produits et n(n-1) translations. • Produit par semi-translation : Pour un nombre à n chiffres, il y a n(n+1)/2 produits et n(n-1)/2 translations.

  29. Approximation de p Al-Kashi : ar-Risala al-muhitiyya [L’épître sur le cercle] • Méthode des polygones avec moyenne arithmétique. • Utilisation d’un polygone dont le nombre de côté est 3.228 = 805.306.368 • Valeur approchée de p : 2p = 6, 2.831.853.071.795.865

  30. Optimisation de l’approximation de p • Choix préalable de la marge d’erreur : • = 1/12 de millimètre • « La circonférence d’un cercle doit être exprimée en fonction du diamètre avec une précision telle que l’erreur sur la longueur de la circonférence d’un cercle, dont le diamètre est égal à 600.000 fois le diamètre de la Terre, ne dépasse pas l’épaisseur d’un crin de cheval ».

  31. JUSTIFICATIONDES ALGORITHMES

  32. Preuve de Qusta Ibn Luqa

  33. Justification du procédé d’extraction de la racine

  34. n

More Related