brad
Uploaded by
57 SLIDES
856 VIEWS
570LIKES

Exponents and Exponential Functions

DESCRIPTION

Exponents and Exponential Functions. Chapter 7. Complete the following chart:. Why is ? . Decreasing the exponent by 1 is really dividing by the base (which in this case is 2). What do you think will be?. Remember: . What would the next two be? .

1 / 57

Download Presentation

Exponents and Exponential Functions

An Image/Link below is provided (as is) to download presentation Download Policy: Content on the Website is provided to you AS IS for your information and personal use and may not be sold / licensed / shared on other websites without getting consent from its author. Content is provided to you AS IS for your information and personal use only. Download presentation by click this link. While downloading, if for some reason you are not able to download a presentation, the publisher may have deleted the file from their server. During download, if you can't get a presentation, the file might be deleted by the publisher.

E N D

Presentation Transcript


  1. Exponents and Exponential Functions Chapter 7

  2. Complete the following chart:

  3. Why is ? • Decreasing the exponent by 1 is really dividing by the base (which in this case is 2)

  4. What do you think will be? Remember: What would the next two be? Dividing by a fraction is the same as multiplying by its reciprocal

  5. Complete the following chart:

  6. A closer look at negative exponents: Use the negative sign from the negative exponent to clue you in to make it a fraction!

  7. What if the negative exponent was on the bottom? The negative tells you to move the value to the other side of the fraction bar

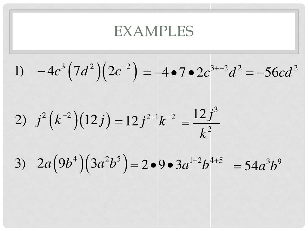
  8. Examples

  9. With variables

  10. With more than one set of exponents, the same rules apply

  11. Examples 1) 2) 3)

  12. What about parenthesis? The exponent is applied to all numbers and variables in the parenthesis

  13. Examples

  14. Multiplying powers with the same base Exponent base Same Base Different Base

  15. Multiplying powers with the same base

  16. Multiplying powers with the same base Add exponents!

  17. Multiplying powers with the same base

  18. Multiplying powers with the same base Add exponents!

  19. Examples

  20. Examples with variables

  21. Examples with different bases

  22. Examples

  23. Multiplying Scientific Notation

  24. examples Remember to be sure the number is in scientific notation!

  25. examples

  26. Raising a Power to a Power Multiply the exponents!

  27. Examples: Write with positive exponents

  28. examples

  29. Complete the equation

  30. Complete the equation

  31. examples

  32. Dividing Exponents

  33. Dividing powers with the same base Subtract exponents!

  34. Examples: Write with positive exponents

  35. Examples: Write with positive exponents

  36. Examples: Write with positive exponents

  37. Dividing Scientific Notation

  38. Examples Scientific Notation

  39. Function Notation y = 2x + 4 is a linear function Function notation replaces y with f(x) f(x) = 2x + 4 When asked what the function would equal if x was 3, the equation would say: f(3) = 2(3) + 4 = 10 So f(3) = 10Everywhere you saw an x, you replaced it with 3 and solved

  40. Find… • f(12) if f(x) = -3x – 10 • g(-1) if g(x) = 7x + 19 • h(10) if h(x) = x² + 2x - 18

  41. Exponential Functions Cannot equal 1 and must be greater than zero Cannot equal zero

  42. Graphing an exponential function:

  43. Domain/Range • Domain: The possible x values • Range: The possible y values Domain: x = all real numbers Range: y > 0

  44. The differences of x are constant The product is constant for y Exponential Function!!

  45. Determine if these are exponential functions 1) YES! 2) NO!

  46. Given the domain {-2, -1, 0, 1, 2}, Does the range increase or decrease? Decreases!

  47. Given the domain {-2, -1, 0, 1, 2}, Does the range increase or decrease? INCREASES!

  48. Exponential Growth Growth factor (more than one) Initial amount

  49. Examples: Since 2005, the amount of money spent at restaurants in the US has increased by 7% each year. In 2005, about $360 billion was spent at restaurants. If the trend continues, about how much will be spent at restaurants in 2015? 1 + % for Exponential Growth

  50. Examples: Suppose the population of deer in a region was 3500 in the year 2000. Since then, the population has grown by 3.5% annually. What will the approximate population be in the year 2020?

More Related