1 / 21

Consolidated Student Performance Comparison Summary

Consolidated Student Performance Comparison Summary. Subjectwise Comparison of Student Performance in Criterion-Referenced Competency Tests (CRCT). School Year. 2011-. 12. Student Performance Comparison by Race/Ethnicity.

allan
Download Presentation

Consolidated Student Performance Comparison Summary

An Image/Link below is provided (as is) to download presentation Download Policy: Content on the Website is provided to you AS IS for your information and personal use and may not be sold / licensed / shared on other websites without getting consent from its author. Content is provided to you AS IS for your information and personal use only. Download presentation by click this link. While downloading, if for some reason you are not able to download a presentation, the publisher may have deleted the file from their server. During download, if you can't get a presentation, the file might be deleted by the publisher.

E N D

Presentation Transcript


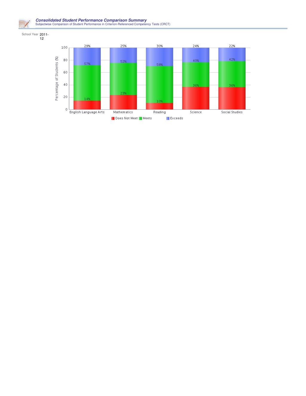
  1. Consolidated Student Performance Comparison Summary Subjectwise Comparison of Student Performance in Criterion-Referenced Competency Tests (CRCT) School Year 2011- 12

  2. Student Performance Comparison by Race/Ethnicity Performance of Students by Race/Ethnicity in Criterion-Referenced Competency Tests (CRCT) Race/Ethnicity White School Year 2011- 12

  3. Student Performance Comparison by Race/Ethnicity Performance of Students by Race/Ethnicity in Criterion-Referenced Competency Tests (CRCT) Race/Ethnicity Asian School Year 2011- 12

  4. Student Performance Comparison by Race/Ethnicity Performance of Students by Race/Ethnicity in Criterion-Referenced Competency Tests (CRCT) Race/Ethnicity Black School Year 2011- 12

  5. Student Performance Comparison by Race/Ethnicity Performance of Students by Race/Ethnicity in Criterion-Referenced Competency Tests (CRCT) Race/Ethnicity Hispanic School Year 2011- 12

  6. Students Performance Comparison by English Proficiency Performance of Students by English Proficiency Status in Criterion-Referenced Competency Tests (CRCT) English Proficiency Status Limited English Proficient School Year 2011- 12

  7. Student Performance Comparison by Economic Status Performance of Students by their Economic Condition in Criterion-Referenced Competency Tests (CRCT) Economic Status Economically Disadvantaged School Year 2011- 12

  8. Student Performance Comparison by Economic Status Performance of Students by their Economic Condition in Criterion-Referenced Competency Tests (CRCT) Economic Status Not Economically Disadvantaged School Year 2011- 12

  9. Student Performance Comparison by Disability Status Performance of Students by Disability Status in Criterion-Referenced Competency Tests (CRCT) Disability Status Students with Disabilities School Year 2011- 12

  10. DeKalb Certified Personnel Data Displays Category wise Metrics for Certified Personnel Administrators PK-12 Teachers Support Personnel 2011-12 Certificate Level 4 Yr Bachelor's 2 2,269 25 5 Yr Master's 153 3,329 464 6 Yr Specialist's 202 888 334 7 Yr Doctoral 137 202 106 Other * 1 24 0 Gender Male 173 1,510 109 Female 322 5,202 820 Personnel Full-time 486 6,295 896 Part-time 9 417 33 Positions Number 492 6,630 952 Average Annual Salary $88,012.06 $52,731.81 $62,040.65 Average Contract Days 220 187 193 Average Daily Salary $400.54 $282.43 $321.40 Race/Ethnicity Black 397 4,342 640 White 83 2,044 264 Hispanic 7 119 15 Asian 3 136 2 Native American 1 12 1 Multiracial 4 59 7 Years Experience < 1 3 465 47 1-10 15 2,722 202 11-20 238 2,178 372 21-30 163 1,000 222 > 30 76 347 86 Average 21 13 17 2012-13 Certificate Level 4 Yr Bachelor's 5 1,942 21 5 Yr Master's 165 3,104 372 6 Yr Specialist's 218 881 250 7 Yr Doctoral 126 216 99 Other * 0 27 0 Gender Male 156 1,400 81 Female 358 4,770 661 Personnel Full-time 513 5,750 710 Part-time 1 420 32 Positions Number 514 6,107 733 Average Annual Salary $83,589.88 $52,306.21 $60,867.57 Average Contract Days 213 185 189 Average Daily Salary $391.76 $283.31 $322.12 Race/Ethnicity Black 417 4,035 512 White 82 1,861 209 Hispanic 7 115 13 Asian 2 95 3 Native American 1 9 1 Multiracial 5 55 4 Years Experience < 1 6 151 31 1-10 16 2,566 166 11-20 239 2,138 293 21-30 196 1,006 176 > 30 57 309 76 Average 21 13 17 * Includes One- and Two-Year Vocational Certificates.

  11. DeKalb Certificate Level 5 Yr Master's School Year 2011- 12

  12. Gwinnett Certified Personnel Data Displays Category wise Metrics for Certified Personnel Administrators PK-12 Teachers Support Personnel 2011-12 Certificate Level 4 Yr Bachelor's 8 2,885 8 5 Yr Master's 184 5,208 275 6 Yr Specialist's 430 2,130 324 7 Yr Doctoral 131 264 46 Other * 0 6 0 Gender Male 217 1,916 74 Female 536 8,577 579 Personnel Full-time 669 10,078 593 Part-time 84 415 60 Positions Number 709 10,306 624 Average Annual Salary $86,541.54 $54,551.49 $62,650.82 Average Contract Days 213 190 195 Average Daily Salary $406.65 $287.11 $320.69 Race/Ethnicity Black 196 1,516 138 White 522 8,216 453 Hispanic 20 363 43 Asian 4 217 4 Native American 2 32 4 Multiracial 9 149 11 Years Experience < 1 5 344 8 1-10 66 4,308 229 11-20 369 3,762 239 21-30 210 1,595 128 > 30 103 484 49 Average 20 13 15 2012-13 Certificate Level 4 Yr Bachelor's 5 2,675 8 5 Yr Master's 181 5,042 276 6 Yr Specialist's 433 2,244 316 7 Yr Doctoral 128 277 46 Other * 0 5 0 Gender Male 225 1,862 64 Female 522 8,381 582 Personnel Full-time 687 9,834 595 Part-time 60 409 51 Positions Number 717 10,064 622 Average Annual Salary $85,896.03 $54,196.19 $61,677.59 Average Contract Days 213 190 195 Average Daily Salary $403.04 $285.24 $315.55 Race/Ethnicity Black 204 1,503 140 White 503 7,975 441 Hispanic 22 365 44 Asian 6 228 5 Native American 2 34 4 Multiracial 10 138 12 Years Experience < 1 1 342 17 1-10 71 3,989 208 11-20 385 3,863 256 21-30 191 1,588 121 > 30 99 461 44 Average 20 14 15 * Includes One- and Two-Year Vocational Certificates.

  13. Gwinnett Certificate Level 5 Yr Master's School Year 2011- 12

  14. Cobb Certified Personnel Data Displays Category wise Metrics for Certified Personnel Administrators PK-12 Teachers Support Personnel 2011-12 Certificate Level 4 Yr Bachelor's 3 2,726 76 5 Yr Master's 139 3,514 500 6 Yr Specialist's 234 1,040 307 7 Yr Doctoral 68 136 71 Other * 0 28 0 Gender Male 131 1,359 66 Female 313 6,085 888 Personnel Full-time 423 7,279 879 Part-time 21 165 75 Positions Number 433 7,374 920 Average Annual Salary $82,708.25 $53,769.86 $58,076.77 Average Contract Days 219 187 192 Average Daily Salary $377.48 $287.28 $302.06 Race/Ethnicity Black 111 1,235 185 White 321 5,829 726 Hispanic 10 205 21 Asian 2 84 7 Native American 0 16 2 Multiracial 0 75 13 Years Experience < 1 11 381 90 1-10 34 3,301 311 11-20 203 2,483 329 21-30 140 1,010 160 > 30 56 269 64 Average 20 12 14 2012-13 Certificate Level 4 Yr Bachelor's 1 2,589 119 5 Yr Master's 140 3,364 496 6 Yr Specialist's 217 1,063 304 7 Yr Doctoral 87 142 70 Other * 0 29 0 Gender Male 131 1,313 71 Female 314 5,874 918 Personnel Full-time 423 7,011 901 Part-time 22 176 88 Positions Number 438 7,125 951 Average Annual Salary $83,408.81 $54,322.67 $56,200.59 Average Contract Days 220 188 192 Average Daily Salary $378.54 $288.73 $293.26 Race/Ethnicity Black 110 1,198 179 White 320 5,607 762 Hispanic 11 206 27 Asian 2 78 6 Native American 1 23 0 Multiracial 1 75 15 Years Experience < 1 12 365 126 1-10 33 3,004 299 11-20 211 2,569 348 21-30 136 1,001 155 > 30 53 248 61 Average 20 12 13 * Includes One- and Two-Year Vocational Certificates.

  15. Cobb Certificate Level 5 Yr Master's School Year 2011- 12

  16. Clayton Certified Personnel Data Displays Category wise Metrics for Certified Personnel Administrators PK-12 Teachers Support Personnel 2011-12 Certificate Level 4 Yr Bachelor's 1 1,007 1 5 Yr Master's 81 1,505 117 6 Yr Specialist's 88 596 97 7 Yr Doctoral 54 77 32 Other * 0 12 0 Gender Male 80 659 31 Female 144 2,538 216 Personnel Full-time 224 3,197 246 Part-time 0 0 1 Positions Number 224 3,206 247 Average Annual Salary $82,403.53 $51,522.60 $63,415.39 Average Contract Days 218 185 196 Average Daily Salary $377.97 $278.59 $323.82 Race/Ethnicity Black 169 2,209 170 White 49 769 65 Hispanic 2 92 6 Asian 1 43 0 Native American 0 9 1 Multiracial 3 75 5 Years Experience < 1 0 175 3 1-10 33 1,572 78 11-20 119 973 105 21-30 52 349 40 > 30 20 128 21 Average 18 12 15 2012-13 Certificate Level 4 Yr Bachelor's 2 858 0 5 Yr Master's 89 1,374 120 6 Yr Specialist's 105 598 104 7 Yr Doctoral 61 73 25 Other * 0 8 0 Gender Male 72 615 36 Female 185 2,296 213 Personnel Full-time 257 2,911 249 Part-time 0 0 0 Positions Number 257 2,912 249 Average Annual Salary $77,927.09 $51,564.13 $61,646.50 Average Contract Days 214 185 196 Average Daily Salary $364.46 $278.72 $315.05 Race/Ethnicity Black 201 2,057 185 White 47 668 55 Hispanic 2 84 4 Asian 2 39 0 Native American 0 8 1 Multiracial 5 55 4 Years Experience < 1 0 153 13 1-10 52 1,311 74 11-20 130 1,012 107 21-30 57 320 37 > 30 18 115 18 Average 17 12 15 * Includes One- and Two-Year Vocational Certificates.

  17. Clayton Certificate Level 5 Yr Master's School Year 2011- 12

  18. Fulton Certified Personnel Data Displays Category wise Metrics for Certified Personnel Administrators PK-12 Teachers Support Personnel 2011-12 Certificate Level 4 Yr Bachelor's 10 1,208 9 5 Yr Master's 178 1,582 163 6 Yr Specialist's 163 645 105 7 Yr Doctoral 91 148 37 Other * 0 13 0 Gender Male 130 825 48 Female 312 2,771 266 Personnel Full-time 439 3,589 311 Part-time 3 7 3 Positions Number 441 3,593 313 Average Annual Salary $87,348.69 $59,135.22 $67,115.06 Average Contract Days 223 192 200 Average Daily Salary $391.99 $308.77 $335.97 Race/Ethnicity Black 390 2,646 277 White 49 794 33 Hispanic 1 94 4 Asian 2 54 0 Native American 0 7 0 Multiracial 0 1 0 Years Experience < 1 5 307 6 1-10 134 1,697 92 11-20 200 1,023 111 21-30 66 425 66 > 30 37 144 39 Average 15 11 16 2012-13 Certificate Level 4 Yr Bachelor's 10 1,150 8 5 Yr Master's 184 1,616 152 6 Yr Specialist's 202 665 114 7 Yr Doctoral 104 151 38 Other * 0 14 0 Gender Male 161 824 49 Female 339 2,772 263 Personnel Full-time 498 3,586 310 Part-time 2 10 2 Positions Number 499 3,592 311 Average Annual Salary $87,739.98 $59,034.39 $72,798.22 Average Contract Days 222 192 201 Average Daily Salary $394.44 $307.74 $361.95 Race/Ethnicity Black 435 2,650 268 White 61 805 40 Hispanic 1 86 4 Asian 2 46 0 Native American 1 9 0 Multiracial 0 0 0 Years Experience < 1 37 440 14 1-10 153 1,499 79 11-20 211 1,128 115 21-30 70 411 67 > 30 29 118 37 Average 14 11 16 * Includes One- and Two-Year Vocational Certificates.

  19. Fulton Certificate Level 5 Yr Master's School Year 2011- 12

  20. Atlanta Certified Personnel Data Displays Category wise Metrics for Certified Personnel Administrators PK-12 Teachers Support Personnel 2011-12 Certificate Level 4 Yr Bachelor's 313 2,419 251 5 Yr Master's 723 3,043 682 6 Yr Specialist's 301 592 264 7 Yr Doctoral 72 90 37 Other * 3 13 6 Gender Male 319 1,163 403 Female 1,093 4,994 837 Personnel Full-time 349 5,587 615 Part-time 1,063 570 625 Positions Number 448 6,087 739 Average Annual Salary $82,339.91 $51,419.45 $59,084.10 Average Contract Days 216 190 190 Average Daily Salary $381.48 $270.91 $310.75 Race/Ethnicity Black 588 2,135 435 White 787 3,758 768 Hispanic 17 139 22 Asian 15 105 13 Native American 3 17 1 Multiracial 2 3 1 Years Experience < 1 27 481 113 1-10 541 3,058 532 11-20 565 1,764 387 21-30 215 675 156 > 30 64 179 52 Average 14 11 12 2012-13 Certificate Level 4 Yr Bachelor's 340 2,424 281 5 Yr Master's 806 3,135 766 6 Yr Specialist's 308 652 272 7 Yr Doctoral 85 90 42 Other * 1 12 3 Gender Male 326 1,214 430 Female 1,214 5,099 934 Personnel Full-time 364 5,656 707 Part-time 1,176 657 657 Positions Number 465 6,225 839 Average Annual Salary $80,960.73 $50,638.31 $58,130.25 Average Contract Days 217 190 190 Average Daily Salary $372.59 $266.66 $305.34 Race/Ethnicity Black 599 2,193 480 White 889 3,830 849 Hispanic 25 155 22 Asian 21 112 10 Native American 2 12 1 Multiracial 4 11 2 Years Experience < 1 61 750 159 1-10 594 2,970 586 11-20 613 1,783 416 21-30 214 662 150 > 30 58 148 53 Average 13 10 11 * Includes One- and Two-Year Vocational Certificates.

  21. Atlanta Certificate Level 5 Yr Master's School Year 2011- 12

More Related