aglaia
Uploaded by
18 SLIDES
379 VIEWS
180LIKES

2014/9/1

DESCRIPTION

2014/9/1. 有机推断题的解题技巧. 制作:立珊中学化组 授课:张四海. ?. ( 06 重庆理综第 28 题) (17 分 ). ( α- 松油醇可经以下路线合成,小方框中的每一字母各代表一种有机物:. 请回答下列问题: 试剂 1 是 ________, 试剂 2 是 ________ 。 A 至 H 中,能发生银镜反应的是 __________ 。 G 和 H 的结构简式分别是 G______________; H_______________ 。

1 / 18

Download Presentation

2014/9/1

An Image/Link below is provided (as is) to download presentation Download Policy: Content on the Website is provided to you AS IS for your information and personal use and may not be sold / licensed / shared on other websites without getting consent from its author. Content is provided to you AS IS for your information and personal use only. Download presentation by click this link. While downloading, if for some reason you are not able to download a presentation, the publisher may have deleted the file from their server. During download, if you can't get a presentation, the file might be deleted by the publisher.

E N D

Presentation Transcript


  1. 2014/9/1 有机推断题的解题技巧 制作:立珊中学化组 授课:张四海

  2. (06重庆理综第28题)(17分) (α-松油醇可经以下路线合成,小方框中的每一字母各代表一种有机物: 请回答下列问题: 试剂1是________, 试剂2是________。 A至H中,能发生银镜反应的是__________。 G和H的结构简式分别是G______________; H_______________。 E转化为F的反应方程式是____________________________________。

  3. 解题突破口 1.从有机物的物理特征突破: 2.有机反应往往各有特定的条件, 由此反应的条件是突破口; 3.从特定的转化关系突破: 4.从特征现象突破: 5.从特定的量变突破:

  4. 一.解题突破口 1.从有机物的物理特征突破: 有机物的各类代表物的颜色,状态,气味,溶解性,密度,熔点,沸点等往往各有特点。平时要留心归纳,解题时可能由此找到题眼。 如:有机物由C.H.O三种元素组成,在常温下显气态,则知该有机物为 ———————— 2.有机反应往往各有特定的条件,由此反应的条件是突破口。 (1)“NaOH水溶液,加热”的反应类型可能是:卤代烃的水解、酯的水解等 (2)“稀硫酸,加热”可能是:酯的水解,糖类的水解等 (3)“浓硫酸,加热”的反应类型可能是:醇消去反应、酯化、硝化等 (4)“Cu, △” 是:醇催化氧化的条件 甲醛

  5. 3.从特定的转化关系突破: 例如:(1)某有机物能氧化后再氧化则该有机物可能是“烯烃”或“醇”。 因: “烯烃 氧化醛 氧化羧酸” “ 醇 氧化醛 氧化羧酸” (2)若某有机物能氧化又能被还原 “B 还原 A 氧化C” 则A可能为“醛” 因醛既能被氧化“转化为羧酸”又能被还原“转化为醇”

  6. 4.从特征现象突破: 如:加FeCl3溶液发生显色反应,有机物可能是酚类, 若能与银氨溶液反应生成银镜,则有机物为含醛基的物质。(或新Cu(OH)2)加热产生关砖红色的沉淀现象也为含醛基的判断,特征现象常从产生气体、沉淀、颜色、溶液颜色变化等方面的考虑。

  7. 5.从特定的量变突破: 例如:相对分子质量增加了16,可能是加进了一个氧原子. 如:CH2=CH2 加‘O’CH3CHO加‘O’ CH3COOH 另:某反应前后有机物从化学式原子个数看,除了少2个H 外,还少了一个O原子,则可能为“脱水成烯”(醇的消去反应) 或“脱水成酯基”(酯化反应)或“脱水缩合成肽键”等可能。

  8. 例3(06重庆理综第28题)(17分)α-松油醇可经以下路线合成,小方框中的每一字母各代表一种有机物:例3(06重庆理综第28题)(17分)α-松油醇可经以下路线合成,小方框中的每一字母各代表一种有机物: 请回答下列问题: 试剂1是________, 试剂2是________。 A至H中,能发生银镜反应的是__________。 G和H的结构简式分别是G______________; H_______________。 E转化为F的反应方程式是____________________________________。 题型一、以有机化学中各类物质间的相互转化及转化条件的规律的应用和延伸的推断。

  9. 脂肪酸 浓硫酸 ① A ② M B 题型二、以量变为中心的推断 (2004全国2-27) 科学家发现某药物M能治疗心血管疾病是因为它在人体内能释放出一种“信分子”D,并阐明了D在人体内的作用原理。为此他们荣获了1998年诺贝尔生理学或医学奖。 请回答下列问题: (1)已知M的分子量为227,由C、H、O、N周四种元素组成,C、H、N的质量分数依次为15.86%、2.20%和18.50%。则M的分子式 是D是双原子分子,分子量为30,则D的分子式为________________。 (2)油脂A经下列途径可得到M。 图中②的提示: C2H5OH+HO-NO2 C2H5O-NO2+H2O 硝酸 硝酸乙酯 反应①的化学方程式是________________________________________________。 反应②的化学方程式是___________________________________________________。 (3)C是B和乙酸在一定条件下反应生成的化合物,分子量为134,写出C所有可能的结构简式 _______________________________________________________________________。 (4)若将0.1mol B与足量的金属钠反应,则需消耗_________g金属钠。

  10. 练习1.03年上海高考 OHC-CH==CH-COOH+2H2 HO-CH2-CH2-CH2-COOH Ni △ D的碳链没有支链 根据反应条件或性质确定官能团 根据图示填空(1)化合物A含有的官能团。 分子式 官能团 碳链结构 • 题中给出的已知条件中已含着以下四类信息: • 1) 反应(条件、性质)信息:A能与银氨溶液反应,表明A分子内含有醛基,A能与NaHCO3反应断定A分子中有羧基。 • 2) 结构信息:从D物质的碳链不含支链,可知A分子也不含支链。 • 3) 数据信息:从F分子中C原子数可推出A是含4个碳原子的物质。 • 4) 隐含信息: 从第(2)问题中提示“1 mol A与2 mol H2反应生成1 mol E ”,可知A分子内除了含1个醛基外还可能含1个碳碳双键。 碳碳双键,醛基,羧基 (2)1 mol A与2 mol H2反应生成1 mol E,其反应方程式是。 如何确定A的结构简式?

  11. D的碳链没有支链 (3)与A具有相同官能团的A的同分异构体的结构简式是。(4)B在酸性条件下与Br2反应得到D.D的结构简式是。(5)F的结构简式是。由E生成F的反应类型是。

  12. Ni △ 答案 (1)碳碳双键,醛基,羧基 (2)OHC-CH==CH-COOH+2H2 HO-CH2-CH2-CH2-COOH (3) Br Br (4)HOOC—CH—CH—COOH (5)或;酯化反应

  13. 二、解有机推断题的基本思路: 明显条件 隐含条件 结构特征 反应特征 现象特征 原 题 审 析 反复推敲 认真辨析 深挖细找 找突破口 推断 结 构 检 验

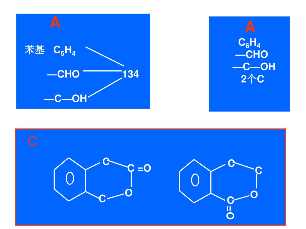
  14. 练习2:A为芳香烃衍生物,只含有C,H,O三种元素。苯练习2:A为芳香烃衍生物,只含有C,H,O三种元素。苯 苯环上只有两个邻位取代基。A的相对分子量为164 A不能使 FeCl3溶液呈紫色。但可被银氨溶液氧化 成B。B能在浓 H2SO4存在的条件下,发生分子内 酯化反应生成 C 。C 分子中除含苯环外还有一个含 氧原子的六元环。且A不能发生消去反应。请写出 A 的结构简式。

  15. A 苯基 C6H4 —CHO 134 —C—OH A C6H4 —CHO —C—OH 2个C C C C C =O C O O C C =O

  16. A CH3 C CH3 CH COOH CH C =O CH2 OH O CH2

  17. 谢 谢 指 导

More Related