1 / 48

Chapter 5. Control Design

Chapter 5. Control Design. 5.5. * Two approaches for control unit design • A hard-wired control unit : a sequential logic circuit to generate specific fixed sequences of control signals → change in behavior only by redesign. .

yorick
Download Presentation

Chapter 5. Control Design

An Image/Link below is provided (as is) to download presentation Download Policy: Content on the Website is provided to you AS IS for your information and personal use and may not be sold / licensed / shared on other websites without getting consent from its author. Content is provided to you AS IS for your information and personal use only. Download presentation by click this link. While downloading, if for some reason you are not able to download a presentation, the publisher may have deleted the file from their server. During download, if you can't get a presentation, the file might be deleted by the publisher.

E N D

Presentation Transcript


  1. Chapter 5. Control Design

  2. 5.5 * Two approaches for control unit design • A hard-wired control unit : a sequential logic circuit to generate specific fixed sequences of control signals → change in behavior only by redesign.

  3. • A microprogrammed control unit : by organizing control signals into microinstructions. The signals are implemented by a kind of software(or firmware) rather than hardware. → design change : change the contents of control memory. → emulation : a microprogrammed CPU can execute programs written in the machine language of other computers. Disadvantage: ① Slower due to fetch. ② more costly due to the presence of the control memory and its access circuits.

  4. 5.1.2. Hardwired Control design method 1 : The classical method of sequential circuit design. For a P-state circuit,  log2P flip-flops are required. design method 2 : One-hot method, one flip-flop per state. Expensive in terms of F/F but simplify CU design and debugging. • GCD processor

  5. Classical method S0 = 00, S1 = 01, S2 = 10 and S3 = 11

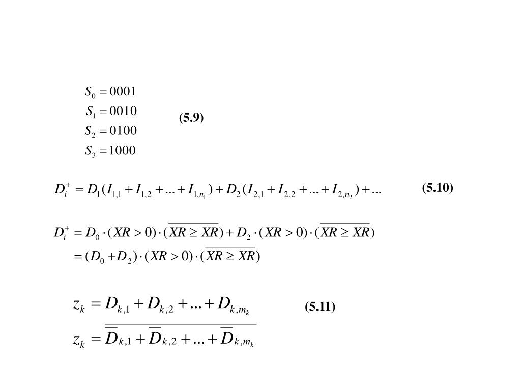
  6. (5.9) (5.10) (5.11)

  7. One-hot method S0 = 0001, S1 = 0010, S2 = 0100 and S3 = 1000 The one-hot method is limited to a small number of states The next-state and output equations have a simple and systematic form The one-hot design method 1. Construct a P-row state table that defines the desired input-output behavior. 2. Associate a separate D-type flip-flop Di with each state Si, and assign the P-bit one-hot binary code D1,D2 , … , Di-1, Di , Di+1 , … , Dp = 0,0,…,0,1,0,…,0 to Si. 3. Design a combinational circuit C that generates the primary and secondary output signals { Di } and { zk }, respectively. Di+is defined by the logic equation where denote all input combinations that cause a transition from Sj to Si. If zk = 1 ( active ) only in rows k,h for h = 1,2,…,mk, then zk is defined by

  8. Design of 2C multiplier hardwired control

  9. 5.2 Microprogrammed Control Instruction : implemented by a sequence of one or more sets of concurrent micro-operations. Microprogramming : control-signal selection and sequencing information is stored in a ROM or RAM called a control memory(CM), and microinstruction is fetched from CM. A microprogrammed computer C1 can be used to execute program written in the machine language L2 of some other computer C2 by placing an emulation for L2 in the CM of C1.

  10. Control field Address field Wilker’s Design : microinstruction (I)

  11. X0 X1 X2 X3 ○ ○ ○ ○ c0 c1 c2 c3 Register R How to decide I word length 1. The degree of parallelism required at the micro-operation level 2. How the control information is represented or encoded 3. How to specify the next I address • Parallelism in I • If all useful combination of parallel micro-operation are specified by a single opcode it would be enormous, and decoder will be complicated. • → divide the micro-operation specification part into k disjoint control field, any one of which can be performed simultaneously with other. • ① In IBM 360/50: I 90 bits (21 partitioned control field). ② Wilker design: 1-bit control field for each control signal. Un-encoded form (4-bit) c0 c1 c2 c3 Micro-operation 1 0 0 0 R← X0 0 1 0 0 R← X1 0 0 1 0 R← X2 0 0 0 1 R← X3 0 0 0 0 No op

  12. K0 K1 K2 Micro-operation 0 0 1 R← X0 0 1 0 R← X1 0 1 1 R← X2 1 0 0 R← X3 0 0 0 No op 5 operations Encoded form (3-bit) n independent control signal →⌈log2(n+1)⌉ bits decoder is needed I : horizontal VS vertical horizontal form : ① long format ② able to express a high degree of parallelism ③ little encoding for the control information. vertical form : ① short format ② limited ability to express parallelism ③ considerable encoding of the control information.

  13. I addressing – use PC (as the primary source) – conditional branching Condition select subfield branch address : store a complete address field or lower-order bits of address. restricting the range of branch instruction to a small region of CM Timing – monophase : a simple clock pulse synchronize all the control signals. control signals are active for the duration of instruction’s execution cycle – polyphase : divide a clock cycle into phases and control signal is active during one of the phase. Increase the complexity of the I format ( to specify the phase of which control signal)

  14. Ex) Timing of 4-phase I. ( R ← R1 op R2 )

  15. A microprogram sequencer generates a I addresses for CM and comprises PC and all the logics needed for next address generation

  16. width length CM Control field decoder 1 decoder 2 decoder 3 ··· ··· ··· ci ck cj ⇒ achieve the minimum number of bits in the control field maintaining the parallelism control field Minimizing the width of CM Is: I1, I2, ···, In Each activates a subset of control signals C1, C2, ··· , Cm ⇒ want an encoding method can’t be activated at the same time. An encoded control field can activate only one control signal at a time. Two control signals can be included in the same control field if and only if they are never simultaneously activated by a I.

  17. • The minimization problem: Find a set of compatibility class {Ci} such that 1. Every control signal is contained in at least one {Ci}. 2. The width W = ∑ log2( |Ci| + 1 ) is minimized. i Algorithm 1. Find the set of Maximal compatibility class (MCC), defined as the compatibility classes to which no control signal can be added without introducing a pair of incompatible control signals. An encoded control field can activate only one control signal at a time. Two control signals can be included in the same control field iff they are never simultaneously activated by a I. (i.e. they are compatible). Two control signals Ci1 and Ci2 are compatible if Ci1Ij implies Ci2Ij, and vice versa. The compatibility class is a set of control signals that are pairwise compatible. 2. Determine all minimal MCC covers. A minimal MCC cover is the minimal set of MCC that includes each control signal. ( Note that a minimal MCC cover does not always yield a minimum value of the cost function W ). 3. For each minimal MCC covers, include each control signal in exactly one subset of some {Ci} and execute the cost W of the resulting solutions and select one with the minimal cost.

  18. I Control signal I1 a, b, c, g S1 = a, b, c, d, e, f, g, h I2 a, c, e, h S2 = bd, be, bh, cd, de, dg, ef, eg, fg, fh, gh, dh I3 a, d, f S3 = bde, bdh, deg, dgh, efg, fgh I4 b, c, f S4 =  Deriving MCC : Denote Si as the set of compatibility classes {Ci} such that {Ci} contains i Cij control signals. S1={simply the n original control signals} Si forms all possible(i)- member compatibility classes. Using Si, construct Si+1 as follow; For each {Ci}Si, add a control signal Cik to {Ci} to form {C}. If {C} is a compatibility class, then add {C} to Si+1 and delete {Ci} and all subset of {C} from Si . Stop when Sk= for some kn+1. The MCCs are from . Example: Find the minimum # of bits in the control fields.

  19. a b c d e f g h C1=a  C2=cd  C3=bde  C4=bdh  C5=deg   C6=dgh  C7=efg  C8=fgh    If a control signal Cij is covered by only one MCC {Ci }, then {Ci } is an essential MCC. If MCC {Ci } contains an  in every row where MCC {Ck } contains an , then {Ci} dominates {Ck}. If a control signal Cij has an  in every column where a control signal Ckl has an , then Cij dominates Ckl. Minimal MCC covers (similar to the prime implicant covering problem) Cover Table – row for each MCC Ci– column for each control signal Cij C1 = a, C2 = cd, C3 = bde, C4 = bdh, C5 = deg, C6 = dgh, C7 = efg, C8 = fgh

  20. b e f g h C3=bde  C4=bdh  C5=deg  C6=dgh  C7=efg   C8=fgh    C5 covered by C7 and C6 is also covered by C8; therefore, C5 & C6 can be removed. Minimal covers {C1+C2} +{C3+C8} +{C4+C7} If C1+C2+C3+C8, a b c d e f g h C1=a  C2=cd  C3=bde  C8=fgh    • Find the Minimal MCC covers  Row and column deletion from a cover table. 1. Delete all essential MCC and all column with  in essential rows. 2. Delete all but one of identical columns. 3. Delete all domination columns. 4. Delete all domination rows. • After finding two essential MCC {C1} and {C2}, we can get the reduced cover table.

  21. ⇒ d is covered two times If {C1,C2,C3,C8}={a, cd, be, fgh}→ width W = log2(|C|+1) = 1+2+2+2 = 7 bits If {C1,C2,C3,C8}={a, c, bde, fgh}→ width W = 1+1+2+2 = 6 bits Another minimal MCC covers C1+C2+C3+C8 a b c d e f g h C1=a  C2=cd  C4=bdh  C7=efg    Using {a, c, bde, fgh} Control fieldbitscodecontrol signal 0 0 0 No op 1 a 1 1 0 No op 1 c 2 2,3 00 No op 01 b 10 d 11 e 3 4,5 00 No op 01 f 10 g 11 h Minimize width -Instruction 0 1 2 3 4 5 I1 1 1 0 1 1 0 I2 1 1 1 1 1 1 I3 1 0 1 0 0 1 I4 0 1 0 1 0 1 If {C1,C2,C4,C7}={a, cd, bh, efg} → width W = 7 bits If {C1,C2,C4,C7}={a, c, bdh, efg} → width W = 6 bits

  22. Encoding by function A drawback of the minimum-width control field : functionally unrelated control signals are combined.

  23. Formats Control fields Action -Instruction 0 0 Condition select Branch address Branch-Instruction 0 1 if Q(7) = 0 1 0 if COUNT6 = 1 1 1 jump Multiple -Instruction formats Branch instructions which specify no control signals. action instructions with no branching capability. This approach is used at the instruction level.

  24. -program sequencer : to place all the circuitry required to generate I addresses in a single IC with the advance of VLSI. – a general purpose building block for -programmed CU. – simplify CPU design.

  25. PC nPC CM nCM IR •Nanoprogrammed Computer -programmed Computer. Instruction PC Control signals CM IR nanoprogrammed Computer Instruction Control signals nIR Criteria ① Size of CM ② Speed reduction(programming needs fetch one time/nanoprogramming twice) – due to extra memory access and complex controller. ③ The advantage of nanoprogramming is the greater design flexibility

  26. Wm Wm Wm nCM: Hn ⇒HnWn (Compare the size of CM) Size of control memory in nanoprogramming CM: ⇒HmWm Hm Total size : HmWm+HnWn = S2 Size of comparable single-level CM ⇒HmWm = S1 Hm Usually, Hm large Wm small Hn small Wn large (Many micro-instructions can use the same nano- programmed control)

  27. Wm size = Hm  (log2Hm + N ) =S1 Hm log2Hm N address Control signal CM nCM Hm Hn log2Hn log2Hm N Assuming no branching address address Big adv. of nanoprogramming “Design flexibility” 1-level CM Nanoprogramming S2 = Hm  (log2Hm + log2Hn) + Hn  N Let, r = Hn/Hm = ratio of unique nano-control states to total # of -control states for all instructions. Hn = r·Hm S2 = Hm  (log2Hm + log2r·Hm) + r·Hm  N = Hm ( 2· log2Hm +log2r + r·N )

  28. 70 650 log2650 70 260 650 log2650 log2260 Example) For 68,000 Processor(N = 70, Hm = 650, r = 0.4), which approach is better? 1-level CM design : S1 = 650  (log2650 + 70) = 52,000 Nanoprogramming S1 = 650  (log2650 + log2260 )+ 260  70= 30,550 In this case, nanoprogramming is better than microprogramming

  29. Cycle per instruction(CPI) = 5.3 Pipeline Control Performance measure: by throughput in MIPS where f is the pipeline’s clock frequency.

  30. Em = S(m) = Efficiency(utilization): Speedup T(m) : the execution time on an m-stage pipeline T(1) : the execution time on a non-pipelined processor S(m) = m × E(m)

  31. PCR = Performance/cost ratio : where f : pipeline’s clock frequency K : hardware cost Suppose the pipeline has m stages for SI. a : the delay of a non-pipelined processor for SI each stage of P : delay a/m and extra delay b due to the buffer resister hardware cost K = cm + d c : buffer-register cost per stage d : cost of the pipelines data processing logic

  32. To maximize PCR with respect to m,

  33. 5.3.3 Superscalar Processing Superscalar operation performs more than one instruction per cycle by fetching, decoding, and executing several instructions concurrently. A superscalar computer has a single CPU that attempts to exploit the parallelism that is implicit in computer programs, with multiple execution units.

  34. In Fig. 5.66, the superscalar design has a potential speedup of 10. With K independent m-stage pipeline E-units speedup factors of a superscalar CPU: heavy demand on the instruction-fetch logic a large, fast instruction and data cache Important factors for PCU of a superscalar computer • Instruction types: A floating-point add instruction has to be issued to a floating add instruction has to be issued to a floating-point E-unit, not to an integer E-unit. • E-unit availability. • Data dependencies : To avoid conflicting use of register, data-dependency constraints among the operands must be satisfied. • Control dependencies : Reduce the impact of branch instructions on pipeline efficiency. • Program order : Instructions must eventually produce results in the order, even if the results may be computed out-of-order internally. read dynamic instruction scheduling and branch prediction.

More Related