yasuo
Uploaded by
4 SLIDES
198 VIEWS
50LIKES

### Flow Chart for Determining Stormwater Performance Requirements Based on Project Specifications ###

DESCRIPTION

This flow chart serves as a guide to assess performance requirements for stormwater management depending on project characteristics. It categorizes projects based on the area of new and replaced impervious surfaces, including exemptions for specific cases like detached single-family residences. The flow chart helps in determining whether the project exceeds certain thresholds, requires specific performance requirements for site design, water quality treatment, and runoff retention, and identifies watershed management zones essential for compliance. ###

1 / 4

Download Presentation

### Flow Chart for Determining Stormwater Performance Requirements Based on Project Specifications ###

An Image/Link below is provided (as is) to download presentation Download Policy: Content on the Website is provided to you AS IS for your information and personal use and may not be sold / licensed / shared on other websites without getting consent from its author. Content is provided to you AS IS for your information and personal use only. Download presentation by click this link. While downloading, if for some reason you are not able to download a presentation, the publisher may have deleted the file from their server. During download, if you can't get a presentation, the file might be deleted by the publisher.

E N D

Presentation Transcript


  1. Flow Chart to Determine Performance Requirements Start Here Is the project Exempt or does not discharge to MS4? YES NO Project is < 2,500 ft2of new and replaced impervious surface YES NO Project is a detached single-family residence? YES NO SFR > 2,500 ft2 See Figure A4 EXEMPT No Stormwater Requirements All Others See Figure A2 Figure A1. Initial Screening for All Development Projects

  2. Projects ≥ 2,500 ft2 Project is >5,000 ft2net impervious area but < 15,000 ft2of new and replaced impervious surface Project is > 2,500 ft2of new and replaced impervious surface but < 5,000 ft2 of net impervious area Project is >15,000 ft2of new and replaced impervious surface Performance Requirements #1 (Site Design) and #2 (WQ Treatment) Performance Requirement #1 (Site Design) See Figure A3 Figure A2. Requirements for Small to Moderate Development Projects

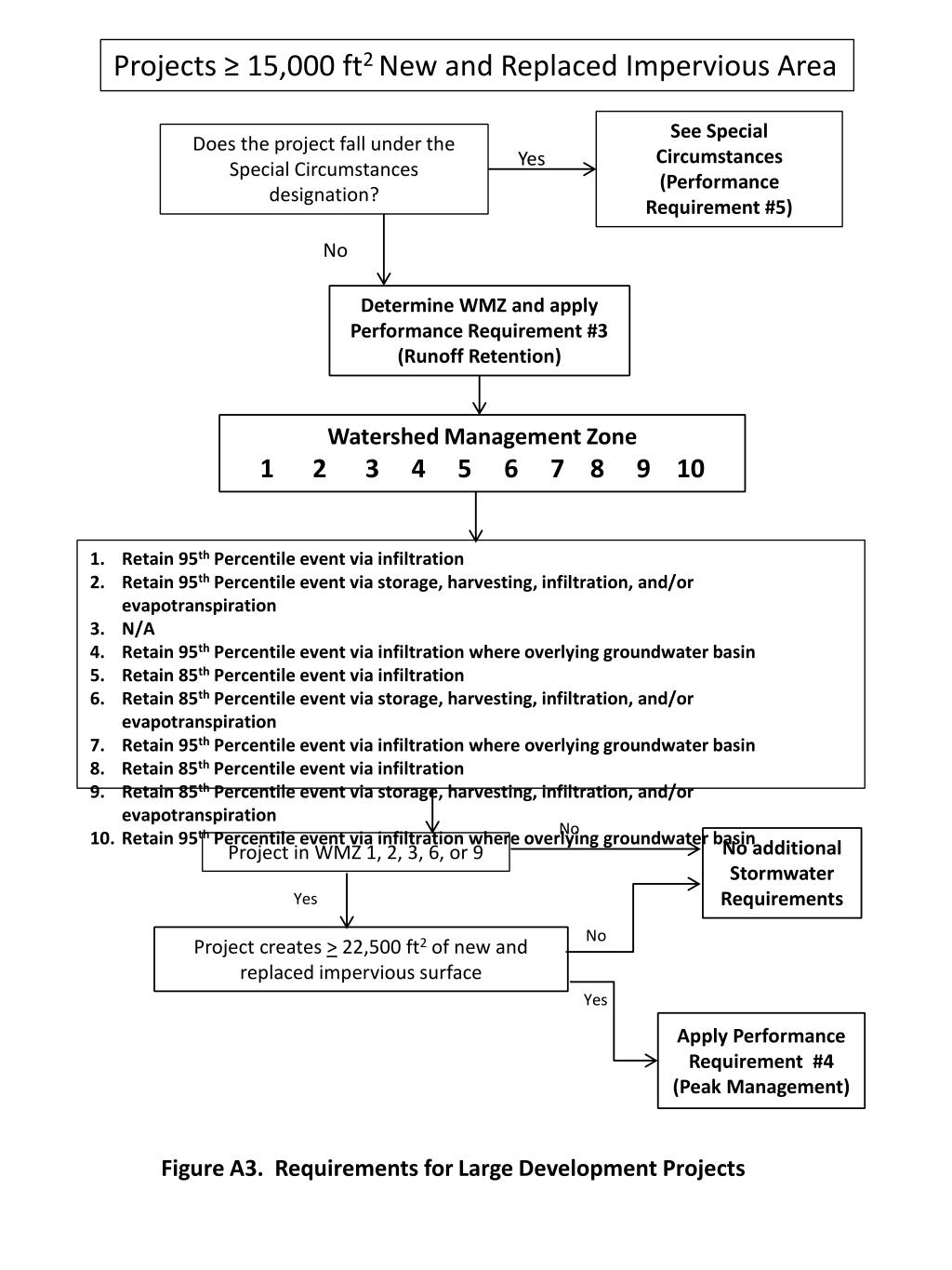
  3. Projects ≥ 15,000 ft2 New and Replaced Impervious Area See Special Circumstances (Performance Requirement #5) Does the project fall under the Special Circumstances designation? Yes No Determine WMZ and apply Performance Requirement #3 (Runoff Retention) Watershed Management Zone 1 2 3 4 5 6 7 8 9 10 Retain 95th Percentile event via infiltration Retain 95th Percentile event via storage, harvesting, infiltration, and/or evapotranspiration N/A Retain 95th Percentile event via infiltration where overlying groundwater basin Retain 85th Percentile event via infiltration Retain 85th Percentile event via storage, harvesting, infiltration, and/or evapotranspiration Retain 95th Percentile event via infiltration where overlying groundwater basin Retain 85th Percentile event via infiltration Retain 85th Percentile event via storage, harvesting, infiltration, and/or evapotranspiration Retain 95th Percentile event via infiltration where overlying groundwater basin No No additional Stormwater Requirements Project in WMZ 1, 2, 3, 6, or 9 Yes No Project creates > 22,500 ft2 of new and replaced impervious surface Yes • Apply Performance • Requirement #4 • (Peak Management) Figure A3. Requirements for Large Development Projects

  4. DetachedSingle-FamilyResidentialProjects Project is > 2,500 ft2new and replaced impervious surface, but < 15,000 ft2 net impervious area Project is > 15,000 ft2 net impervious area, but < 22,500 ft2 new and replaced impervious surface Project is > 22,500 ft2 new and replaced impervious surface Performance Requirement #s 1, 2, and 3 Performance Requirement #s 1, 2, 3, and 4 Performance Requirement #1 Figure A4. Requirements for Single-Family Residential Projects

More Related
SlideServe
Audio
Live Player
Audio Wave
Play slide audio to activate visualizer