unity-ballard
Uploaded by
99 SLIDES
3058 VIEWS
1650LIKES

Factorial Experiments

DESCRIPTION

Factorial Experiments. Analysis of Variance (ANOVA) Experimental Design. Dependent variable Y k Categorical independent variables A, B, C, … (the Factors) Let a = the number of categories (levels) of A b = the number of categories (levels) of B

1 / 99

Download Presentation

Factorial Experiments

An Image/Link below is provided (as is) to download presentation Download Policy: Content on the Website is provided to you AS IS for your information and personal use and may not be sold / licensed / shared on other websites without getting consent from its author. Content is provided to you AS IS for your information and personal use only. Download presentation by click this link. While downloading, if for some reason you are not able to download a presentation, the publisher may have deleted the file from their server. During download, if you can't get a presentation, the file might be deleted by the publisher.

E N D

Presentation Transcript


  1. Factorial Experiments Analysis of Variance (ANOVA) Experimental Design

  2. Dependent variable Y • k Categorical independent variables A, B, C, … (the Factors) • Let • a = the number of categories (levels) of A • b = the number of categories (levels) of B • c = the number of categories (levels) of C • etc.

  3. Example 1 • Dependent variable, Y, weight gain • Independent variables • A, Level of Protein in the diet (High, Low) • B, Source of Protein (Beef, Cereal, Pork)

  4. Example 2 • Dependent variable, Y, paint lustre • Independent variables • A, Film Thickness - (1 or 2 mils) • B, Drying conditions (Regular or Special) • C, Length of wash (10,30,40 or 60 Minutes) • D, Temperature of wash (92 ˚C or 100 ˚C)

  5. ATreatment Combination • a combination levels of the k factors • Total number of treatment combinations • t = abc….

  6. The treatment combinations can thought to be arranged in a k-dimensional rectangular block B 1 2 b 1 2 A a

  7. C B A

  8. or C B A

  9. The Completely Randomized Design • We form the set of all treatment combinations – the set of all combinations of the k factors • Total number of treatment combinations • t = abc…. • In the completely randomized design n experimental units (test animals , test plots, etc. are randomly assigned to each treatment combination. • Total number of experimental units N = nt=nabc..

  10. The Completely Randomized Design is called balanced • If the number of observations per treatment combination is unequal the design is called unbalanced. (resulting mathematically more complex analysis and computations) • If for some of the treatment combinations there are no observations the design is called incomplete. (some of the parameters - main effects and interactions - cannot be estimated.)

  11. Example In this example we are examining the effect of • tThe level of protein A (High or Low) and • tThe source of protein B (Beef, Cereal, or Pork) on weight gains (grams) in rats. We have n = 10 test animals randomly assigned to k = 6 diets

  12. The k = 6 diets are the 6 = 3×2 Level-Source combinations • High - Beef • High - Cereal • High - Pork • Low - Beef • Low - Cereal • Low - Pork

  13. Table Gains in weight (grams) for rats under six diets differing in level of protein (High or Low) and s ource of protein (Beef, Cereal, or Pork) Level of Protein High Protein Low protein Source of Protein Beef Cereal Pork Beef Cereal Pork Diet 1 2 3 4 5 6 73 98 94 90 107 49 102 74 79 76 95 82 118 56 96 90 97 73 104 111 98 64 80 86 81 95 102 86 98 81 107 88 102 51 74 97 100 82 108 72 74 106 87 77 91 90 67 70 117 86 120 95 89 61 111 92 105 78 58 82 Mean 100.0 85.9 99.5 79.2 83.9 78.7 Std. Dev. 15.14 15.02 10.92 13.89 15.71 16.55

  14. Example – Four factor experiment Four factors are studied for their effect on Y (luster of paint film). The four factors are: 1) Film Thickness - (1 or 2 mils) 2) Drying conditions (Regular or Special) 3) Length of wash (10,30,40 or 60 Minutes), and 4) Temperature of wash (92 ˚C or 100 ˚C) Two observations of film luster (Y) are taken for each treatment combination

  15. The data is tabulated below:

  16. Notation Let the single observations be denoted by a single letter and a number of subscripts yijk…..l The number of subscripts is equal to: (the number of factors) + 1 1st subscript = level of first factor 2nd subscript = level of 2nd factor … Last subsrcript denotes different observations on the same treatment combination

  17. Notation for Means When averaging over one or several subscripts we put a “bar” above the letter and replace the subscripts by  Example: y241 

  18. Profile of a Factor Plot of observations means vs. levels of the factor. The levels of the other factors may be held constant or we may average over the other levels

  19. Summary Table Source of Protein Level of Protein Beef Cereal Pork Overall High 100.00 85.90 99.50 95.13 Low 79.20 83.90 78.70 80.60 Overall 89.60 84.90 89.10 87.87

  20. Profiles of Weight Gain for Source and Level of Protein

  21. Profiles of Weight Gain for Source and Level of Protein

  22. Definition: A factor is said to not affect the response if the profile of the factor is horizontal for all combinations of levels of the other factors: No change in the response when you change the levels of the factor (true for all combinations of levels of the other factors) Otherwise the factor is said to affect the response:

  23. Profiles of a Factor that does not affect the response

  24. Profiles of a Factor that does affect the response

  25. Definition: • Two (or more) factors are said to interact if changes in the response when you change the level of one factor depend on the level(s) of the other factor(s). • Profiles of the factor for different levels of the other factor(s) are not parallel • Otherwise the factors are said to be additive . • Profiles of the factor for different levels of the other factor(s) are parallel.

  26. Additive Factors

  27. Interacting Factors

  28. If two (or more) factors interact each factor effects the response. • If two (or more) factors are additive it still remains to be determined if the factors affect the response • In factorial experiments we are interested in determining • which factors effect the response and • which groups of factors interact.

  29. The testing in factorial experiments • Test first the higher order interactions. • If an interaction is present there is no need to test lower order interactions or main effects involving those factors. All factors in the interaction affect the response and they interact • The testing continues with for lower order interactions and main effects for factors which have not yet been determined to affect the response.

  30. Models for factorial experiments The general model yijk…lm = mijk…l + eijk…lm i = 1, 2, ... , a; j = 1, 2, ... , b; … m = 1,2, ... ,n; mijk…l is the mean for the treatment combination (i, j, k, …,l ) eijk…lm is the random departure from the mean (assumed to be normal with mean 0 and variance s2)

  31. Themean,, for the treatment combination (i, j, k, …,l ) can be broken into components. For example if there is a single factor A, mi, is the mean when factor A is at level i. Then mi = m• + (mi - m•) = m + ai where

  32. Note: ai= mi - m is called the effect of treatment i, the ith level of factor A Also and if A has no effect on the response

  33. For the two factor experiment, mij, is the mean when factor A is at level i and factor B is at level j. Then mij = m•• + (mi• - m••) + (m•j - m••) + (mij - mi• - m•j + m••) = m + ai + bj + (ab)ij where

  34. Note: ai = mi• - m•• is the main effect for factor A. bj = m•j - m•• is the main effect for factor B. and (ab)ij = (mij - mi• - m•j + m••) is the interaction effect for factors A and B.

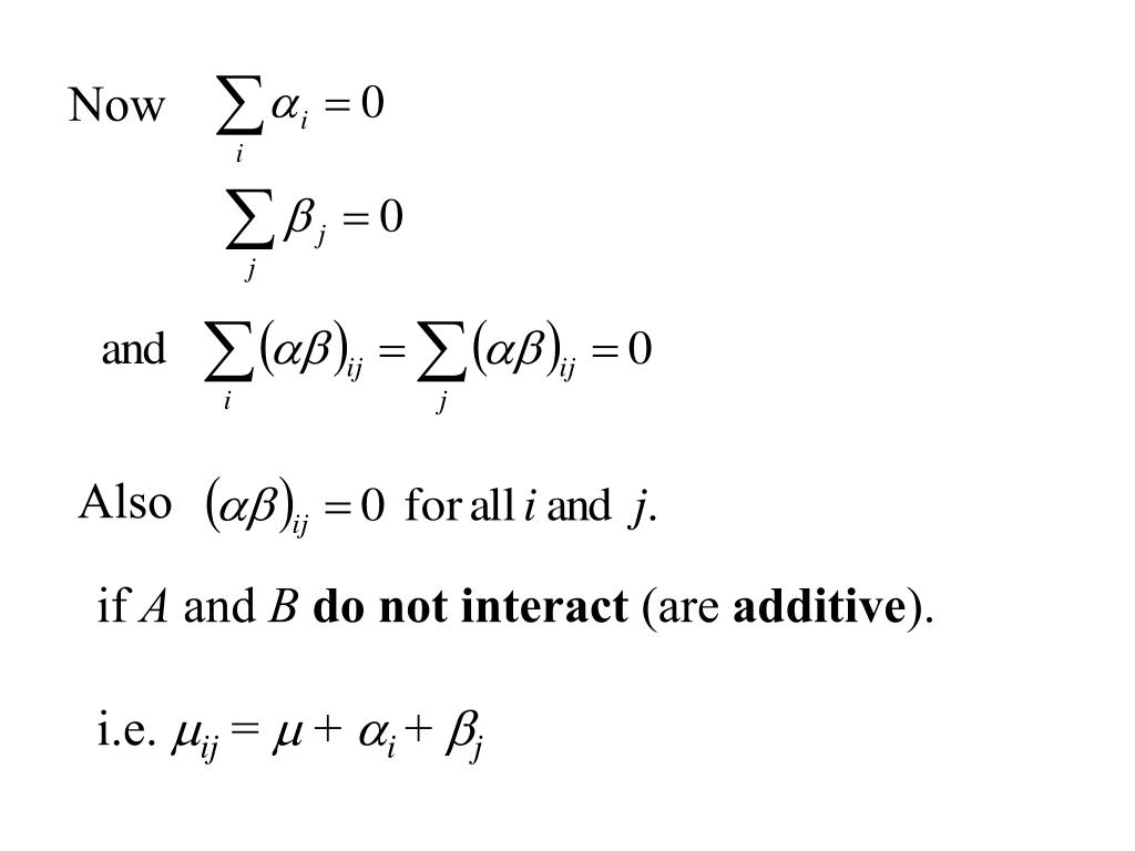
  35. Now Also if A and B do not interact (are additive). i.e. mij = m + ai + bj

  36. If A and B do not interact (are additive). then A has no effect on the response In addition B has no effect on the response

  37. Models for factorial Experiments Single Factor: yij = m + ai + eij i = 1,2, ... ,a; j = 1,2, ... ,n Two Factor: yijk = m + ai + bj+ (ab)ij + eijk i = 1,2, ... ,a ; j = 1,2, ... ,b ; k = 1,2, ... ,n

  38. Three Factor: yijkl = m + ai + bj+ (ab)ij + gk + (ag)ik + (bg)jk+ (abg)ijk + eijkl = m + ai + bj+ gk + (ab)ij + (ag)ik + (bg)jk+ (abg)ijk + eijkl i = 1,2, ... ,a ; j = 1,2, ... ,b ; k = 1,2, ... ,c; l = 1,2, ... ,n

  39. Four Factor: yijklm = m + ai + bj+ (ab)ij + gk + (ag)ik + (bg)jk+ (abg)ijk + dl+ (ad)il + (bd)jl+ (abd)ijl + (gd)kl + (agd)ikl + (bgd)jkl+ (abgd)ijkl + eijklm = m + ai + bj+ gk + dl+ (ab)ij + (ag)ik + (bg)jk + (ad)il + (bd)jl+ (gd)kl + (abg)ijk+ (abd)ijl + (agd)ikl + (bgd)jkl+ (abgd)ijkl + eijklm i = 1,2, ... ,a ; j = 1,2, ... ,b ; k = 1,2, ... ,c; l = 1,2, ... ,d; m = 1,2, ... ,n where0 = Sai = Sbj= S(ab)ij = Sgk = S (ag)ik = S(bg)jk= S(abg)ijk = Sdl= S (ad)il = S (bd)jl = S(abd)ijl = S (gd)kl = S (agd)ikl = S (bgd)jkl = S(abgd)ijkl and S denotes the summation over any of the subscripts.

  40. Estimation of Main Effects and Interactions • Estimator of Main effect of a Factor = Mean at level i of the factor - Overall Mean • Estimator of k-factor interaction effect at a combination of levels of the k factors = Mean at the combination of levels of the k factors - sum of all means at k-1 combinations of levels of the k factors +sum of all means at k-2 combinations of levels of the k factors - etc.

  41. Example: • The main effect of factor B at level j in a four factor (A,B,C and D) experiment is estimated by: • The two-factor interaction effect between factors B and C when B is at level j and C is at level k is estimated by:

  42. The three-factor interaction effect between factors B, C and D when B is at level j, C is at level k and D is at level l is estimated by: • Finally the four-factor interaction effect between factors A,B, C and when A is at level i, B is at level j, C is at level k and D is at level l is estimated by:

  43. Anova Table entries • Sum of squares interaction (or main) effects being tested  (product of sample size and levels of factors not included in the interaction) • Degrees of freedom = df = product of (number of levels - 1) of factors included in the interaction.

  44. Example: Diet, Source of Protein, Level of Protein Summary Table Source of Protein Level of Protein Beef Cereal Pork Overall High 100.00 85.90 99.50 95.13 Low 79.20 83.90 78.70 80.60 Overall 89.60 84.90 89.10 87.87

  45. Mean 87.867

  46. Main Effects for Factor A (Source of Protein) Beef Cereal Pork 1.733 -2.967 1.233

  47. Main Effects for Factor B (Level of Protein) High Low 7.267 -7.267

  48. AB Interaction Effects Source of Protein Beef Cereal Pork Level High 3.133 -6.267 3.133 of Protein Low -3.133 6.267 -3.133 = 1178.133, df =(a – 1)(b – 1) = (2)(1) = 2

  49. The testing in factorial experiments • If an interaction is present there is no need to test lower order interactions or main effects involving those factors. All factors in the interaction affect the response and they interact • Test first the higher order interactions. • The testing continues with for lower order interactions and main effects for factors which have not yet been determined to affect the response.

More Related