nakia
Uploaded by
14 SLIDES
347 VIEWS
140LIKES

Automatyka

DESCRIPTION

Automatyka. Wykład 3 Modele matematyczne (opis matematyczny) liniowych jednowymiarowych (o jednym wejściu i jednym wyjściu) obiektów regulacji. y ( t ). u ( t ). Obiekt regulacji. Równanie wejścia – wyjścia Transmitancja operatorowa i widmowa Równania stanu i równanie wyjścia.

1 / 14

Download Presentation

Automatyka

An Image/Link below is provided (as is) to download presentation Download Policy: Content on the Website is provided to you AS IS for your information and personal use and may not be sold / licensed / shared on other websites without getting consent from its author. Content is provided to you AS IS for your information and personal use only. Download presentation by click this link. While downloading, if for some reason you are not able to download a presentation, the publisher may have deleted the file from their server. During download, if you can't get a presentation, the file might be deleted by the publisher.

E N D

Presentation Transcript

Playing audio...

  1. Automatyka Wykład 3 Modele matematyczne (opis matematyczny) liniowych jednowymiarowych (o jednym wejściu i jednym wyjściu) obiektów regulacji.

  2. y(t) u(t) Obiekt regulacji • Równanie wejścia – wyjścia • Transmitancja operatorowa i widmowa • Równania stanu i równanie wyjścia

  3. Równanie wejścia – wyjścia określa związek zachodzący między sygnałem wejściowym u(t) obiektu a jego sygnałem wyjściowym y(t) i wynika z prawa równowagi dynamicznej ( prawo Newtona, prawa Kirchchoffa itd.) Transmitancję operatorową uzyskuje się z równania wejścia - wyjścia po jego przekształceniu wg. Laplace’a. Transmitancja widmowa opisuje obiekt, którego sygnał wejściowy i wyjściowy mają przebiegi sinusoidalne. Równania stanu uzyskuje się z równania wejścia – wyjścia. Stan obiektu w każdej chwili określają zmienne stanu związane z magazynami energii występującymi w obiekcie. Równanie wyjścia określa zależność sygnału wyjściowego y(t) od zmiennych stanu x1(t), x2(t), … .

  4. Równanie wejścia – wyjścia obiektu (1) Transmitancja operatorowa obiektu Zakładając zerowe warunki początkowe i przekształcając równanie (1) wg. Laplace’a otrzymujemy (2) (3) (4)

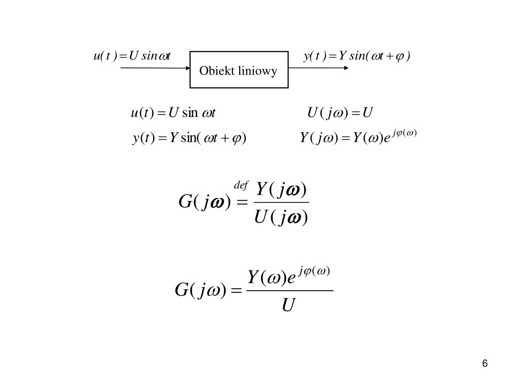
  5. Transmitancja widmowa obiektu regulacji

  6. Obiekt liniowy

  7. Równania stanu i równanie wyjścia Równania stanu Równanie wyjścia

  8. Obiekty regulacji • Obiekty statyczne • Obiekty astatyczne • Bezinercyjne • Inercyjne • Oscylacyjne Obiekty statyczne

  9. Obiekty statyczne Obiekt bezinercyjny • Równanie wejścia – wyjścia: • Transmitancja operatorowa: • Transmitancja widmowa:

  10. i(t) R1 uwe(t) R2 uwy(t) Przykład: • Równanie wejścia – wyjścia: • Transmitancja operatorowa: • Transmitancja widmowa:

  11. Obiekty inercyjne Obiekt inercyjny pierwszego rzędu • Równanie wejścia – wyjścia: T – stała czasowa, k - wzmocnienie • Transmitancja operatorowa: • Transmitancja widmowa:

  12. Równanie stanu: • Równanie wyjścia:

  13. R i(t) i(t) uwe(t) uwy(t) C Czwórnik RC jako przykład obiektu inercyjnego I rzędu • Równanie wejścia – wyjścia: • Transmitancja operatorowa:

  14. Transmitancja widmowa: • Równanie stanu: zmienna stanu

More Related