keagan
Uploaded by
15 SLIDES
352 VIEWS
150LIKES

Automatyka

DESCRIPTION

Automatyka. Linie pierwiastkowe dla układów dyskretnych. Wykład 27. Regulator impulsowy. Y ( s ). E  ( s ). U ( s ). E ( s ). W ( s ). G ob ( s ). K. –. H ( s ). Własności linii pierwiastkowych 1 + KG 1 ( z ) = 0

1 / 15

Download Presentation

Automatyka

An Image/Link below is provided (as is) to download presentation Download Policy: Content on the Website is provided to you AS IS for your information and personal use and may not be sold / licensed / shared on other websites without getting consent from its author. Content is provided to you AS IS for your information and personal use only. Download presentation by click this link. While downloading, if for some reason you are not able to download a presentation, the publisher may have deleted the file from their server. During download, if you can't get a presentation, the file might be deleted by the publisher.

E N D

Presentation Transcript


  1. Automatyka Linie pierwiastkowe dla układów dyskretnych Wykład 27

  2. Regulator impulsowy Y(s) E(s) U(s) E(s) W(s) Gob(s) K – H(s)

  3. Własności linii pierwiastkowych 1+ KG1(z) = 0 1. Punkty dla K = 0 Punkty dla K = 0 są biegunami transmitancji G1(z), obejmującrównież takie, które znajdują się w z = 2. Punkty dla K= ± Punkty dla K= ± są zerami transmitancji G1(z), zawierając również te które znajdują się w z = 3. Liczba oddzielnych linii Całkowita liczba linii pierwiastkowych jest równa stopniowi równania pierwiastkowych M(z) = 0. 4. Symetria linii Linie pierwiastkowe są symetryczne względem osi liczb pierwiastkowych rzeczywistych i czasami innej pionowej osi symetrii pojawiającej się w konfiguracji zero-biegunowej transmitancji KG1(z). 5. Asymptoty linii Dla dużych wartości z, linie pierwiastkowe (K > 0) są zbieżne do pierwiastkowych gdy asymptot, których kąty są wyznaczane z następujących zależności: Dla linii pierwiastkowych (K < 0) gdzie i = 0, 1, 2, ...,| n - m| -1; n = liczba skończonych biegunów transmitancji G1(z) m = liczba skończonych zer transmitancji G1(z).

  4. 6. Punkt przecięcia (a) Punkt przecięcia asymptot występuje tylko na osi liczb rzeczywistych asymptot (b) Punkt przecięcia asymptot wyznaczany jest ze wzoru 7. Linie pierwiastkowe na Linia pierwiastkowa (K > 0) występuje w tych odcinkach osi liczb osi liczb rzeczywistych: rzeczywistych dla których suma rzeczywistych zer i biegunów transmitancji G1(z) z prawej strony tego odcinka jest parzysta. Jeśli całkowita liczba zer i biegunów z prawej strony odcinka jest nieparzysta, wówczas występuje linia pierwiastkowa dla (K < 0). 8. Kąty wejścia i wyjścia: Kąty wejścia lub wyjścia linii pierwiastkowej do bieguna lub zera transmitancji G1(z) mogą być wyznaczone przy założeniu punktu, który jest bardzo blisko rozważanego bieguna lub zera przez zastosowanie równania dla (K > 0) dla (K < 0) gdzie i = 0, 1, 2, 3, ....

  5. 9. Punkty przecięcia linii Punkty przecięcia linii pierwiastkowych z osią liczb urojonych pierwiastkowych z odpowiadają wartościom K, które mogą być wyznaczone przy okręgiem użyciu kryterium Routha. jednostkowym 10. Punkty rozgałęzień Punkty rozgałęzień na linii pierwiastkowej są wyznaczane z zależności dK/ dz = 0 , lub dG1(z)/ dz = 0 . Są to tylko warunki konieczne. 11. Obliczenie wartości K Wartość bezwzględną K w pewnym punkcie z1 należącym do linii na podstawie linii pierwiastkowej pierwiastkowej, wyznacza się na podstawie zależności:

  6. to Gdy Linie stałego współczynnika tłumienia ξ i stałej pulsacji ωn to Gdy

  7. Regulator impulsowy Y(s) E(s) U(s) E(s) W(s) Element formujący Gob(s) – Analiza układów regulacji impulsowej z modulacją amplitudy impulsów Rys. 2. Schemat blokowy układu regulacji impulsowej z regulatorem proporcjonalnym • Elementami układu regulacji impulsowej są: • impulsator idealny, • element formujący impulsy sterujące (impulsator rzeczywisty), • obiekt regulacji.

  8. e(t) e(t) e(0)(t) • e(Tp) • e(2Tp)e(3Tp) e(t) e(t) e(0) e(3Tp)(t-3Tp) 0 Tp 2Tp 3Tp t 0 Tp 2Tp 3Tp t Impulsator idealny

  9. u u(0) u(Tp) u(2Tp) u(3Tp)  0 Tp2Tp3Tp t Element formujący impulsy sterujące zmodulowane amplitudowo

  10. Transmitancja dyskretna układu regulacji impulsowej z regulatorem P o wzmocnieniu ki Transmitancja elementu formującego łącznie z regulatorem proporcjonalnym Transmitancja operatorowa układu otwartego

  11. Transmitancja dyskretna układu regulacji impulsowej z obiektem inercyjnym I-go rzędu

  12. Transmitancja dyskretna układu otwartego Transmitancja dyskretna układu zamkniętego

  13. W(z) Y(z) E(z) G0(z) – Y(z) Analiza układu regulacji impulsowej

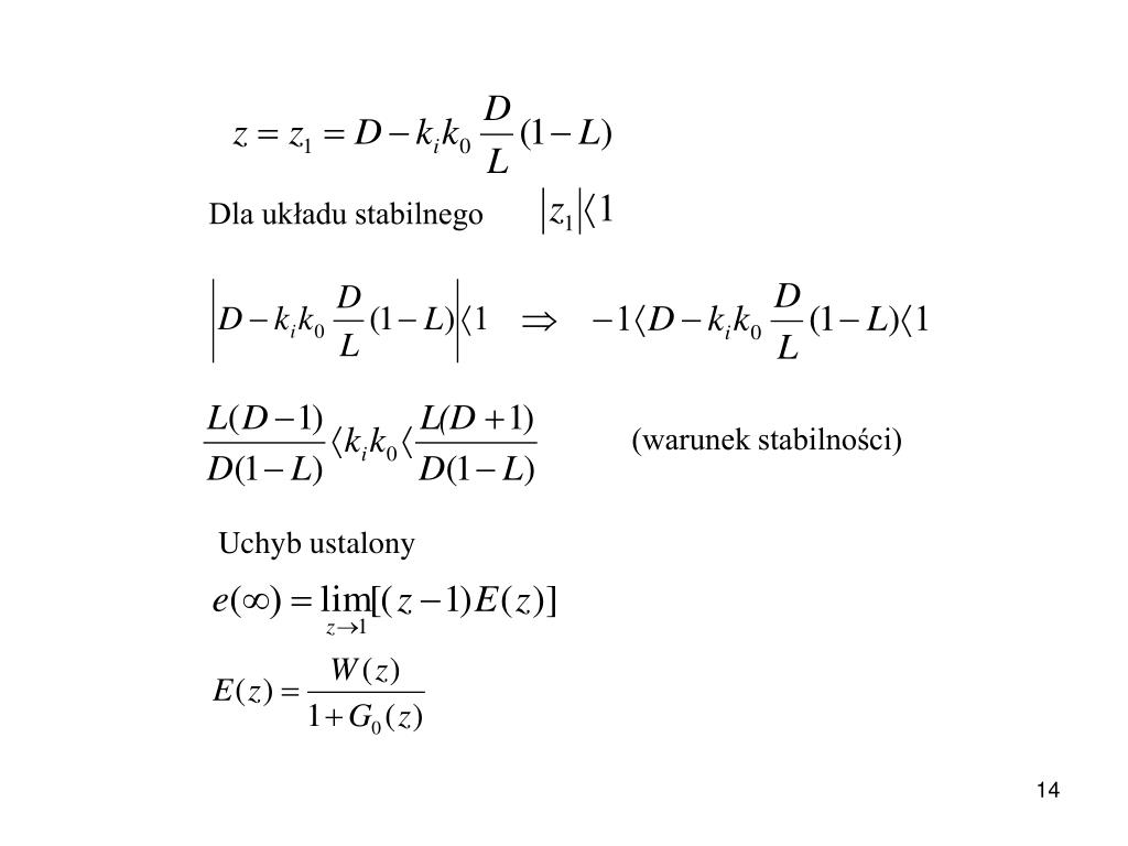
  14. Dla układu stabilnego (warunek stabilności) Uchyb ustalony

  15. Dla mamy

More Related
SlideServe
Audio
Live Player
Audio Wave
Play slide audio to activate visualizer