1 / 20

Digital Transmission through the AWGN Channel

Digital Transmission through the AWGN Channel. ECE460 Spring, 2012. Geometric Representation. Orthogonal Basis Orthogonalization (Gram-Schmidt) Pulse Amplitude Modulation Baseband Bandpass Geometric Representation 2-D Signals Baseband Bandpass

mardi
Download Presentation

Digital Transmission through the AWGN Channel

An Image/Link below is provided (as is) to download presentation Download Policy: Content on the Website is provided to you AS IS for your information and personal use and may not be sold / licensed / shared on other websites without getting consent from its author. Content is provided to you AS IS for your information and personal use only. Download presentation by click this link. While downloading, if for some reason you are not able to download a presentation, the publisher may have deleted the file from their server. During download, if you can't get a presentation, the file might be deleted by the publisher.

E N D

Presentation Transcript


  1. Digital Transmission through the AWGN Channel ECE460 Spring, 2012

  2. Geometric Representation • Orthogonal Basis • Orthogonalization (Gram-Schmidt) • Pulse Amplitude Modulation • Baseband • Bandpass • Geometric Representation • 2-D Signals • Baseband • Bandpass • Carrier Phase Modulation (All have same energy) • Phase-Shift Keying • Two Quadrature Carriers • Quadrature Amplitude Modulation • Multidimensional • Orthogonal • Baseband • Bandpass • Biorthogonal • Baseband • Bandpass

  3. Geometric Representation • Gram-Schmidt Orthogonalization • Begin with first waveform, s1(t) with energy ξ1: • Second waveform • Determine projection, c21, onto ψ1 • Subtract projection from s2(t) • Normalize • Repeat

  4. Example 7.1

  5. Pulse Amplitude ModulationBaseband Signals • Binary PAM • Bit 1 – Amplitude + A • Bit 0 – Amplitude - A • M-ary PAM M-ary PAM Binary PAM

  6. Pulse Amplitude ModulationBandpass Signals • What type of Amplitude Modulation signal does this appear to be? X

  7. PAM SignalsGeometric Representation • M-ary PAM waveforms are one-dimensional • where d = Euclidean distance between two points d d d d d 0

  8. Two-Dimensional Signal Waveforms • Baseband Signals • Are these orthogonal? • Calculate ξ. • Find basis functions of (b).

  9. Two-Dimensional Bandpass Signals • Carrier-Phase Modulation • Given M-two-dimensional signal waveforms • Constrain bandpass waveforms to have same energy

  10. Two-Dimensional Bandpass Signals • Quadrature Amplitude Modulation

  11. Multidimensional Signal WaveformsOrthogonal • Multidimensional means multiple basis vectors • Baseband Signals • Overlapping(Hadamard Sequence) • Non-Overlapping • Pulse Position Mod.(PPM)

  12. Multidimensional Signal WaveformsOrthogonal • Bandpass Signals • As before, we can create bandpass signals by simply multiplying a baseband signal by a sinusoid: • Carrier-frequency modulation: Frequency-Shift Keying (FSK)

  13. Multidimensional Signal WaveformsBiorthogonal • Baseband • Begin with M/2 orthogonal vectors in N = M/2 dimensions. • Then append their negatives • Bandpass • As before, multiply the baseband signals by a sinusoid.

  14. Multidimensional Signal WaveformsSimplex • Subtract the average of M orthogonal waveforms • In geometric form (e.g., vector) • Where the mean-signal vector is • Has the effect of moving the origin to reducing the energy per symbol

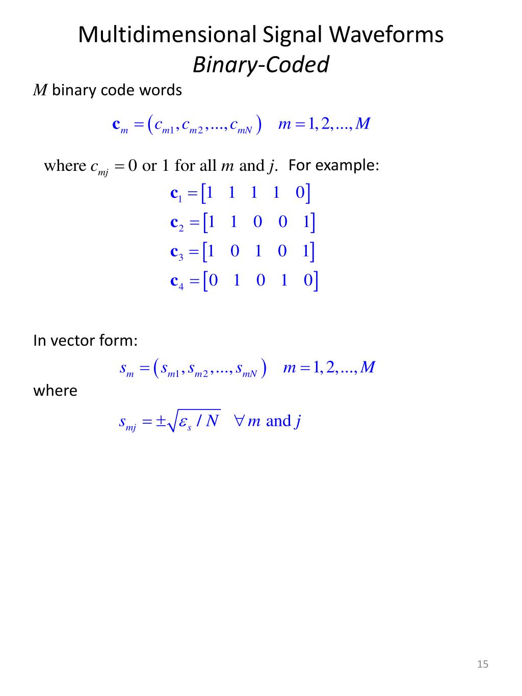
  15. Multidimensional Signal WaveformsBinary-Coded • M binary code words • For example: • In vector form: • where

  16. Optimum Receivers • Start with the transmission of any one of the M-ary signal waveforms: • Demodulators • Correlation-Type • Matched-Filter-Type • Optimum Detector • Special Cases (Demodulation and Detection) • Carrier-Amplitude Modulated Signals • Carrier-Phase Modulation Signals • Quadrature Amplitude Modulated Signals • Frequency-Modulated Signals Demodulator Detector Output Decision Sampler

  17. DemodulatorsCorrelation-Type Next, obtain the joint conditional PDF

  18. DemodulatorsMatched-Filter Type • Instead of using a bank of correlators to generate {rk}, use a bank of N linear filters. • The Matched Filter Key Property: if a signal s(t) is corruptedby AGWN, the filter with impulse response matched to s(t) maximizes the output SNR Demodulator

  19. Optimum Detector • Maximum a Posterior Probabilities (MAP) • If equal a priori probabilities, i.e., for all M and the denominator is a constant for all M, this reduces to maximizing called maximum-likelihood (ML) criterion.

  20. Example 7.5.3 • Consider the case of binary PAM signals in which two possible signal points are where is the energy per bit. The prior probabilities are Determine the metrics for the optimum MAP detector when the transmitted signal is corrupted with AWGN.

More Related