lenci
Uploaded by
38 SLIDES
610 VIEWS
390LIKES

PHYSICS-I

DESCRIPTION

PHYSICS-I. COURSE CODE: 10B11PH111. Teaching Process. The whole course will be covered through Lectures (40) Tutorials (13). Evaluation scheme. There will be three tests all over the semester. 15 marks for the Test-I (1 hr). 25 marks for the Test-II (1 hr 30 minutes).

1 / 38

Download Presentation

PHYSICS-I

An Image/Link below is provided (as is) to download presentation Download Policy: Content on the Website is provided to you AS IS for your information and personal use and may not be sold / licensed / shared on other websites without getting consent from its author. Content is provided to you AS IS for your information and personal use only. Download presentation by click this link. While downloading, if for some reason you are not able to download a presentation, the publisher may have deleted the file from their server. During download, if you can't get a presentation, the file might be deleted by the publisher.

E N D

Presentation Transcript


  1. PHYSICS-I COURSE CODE: 10B11PH111

  2. Teaching Process • The whole course will be covered through • Lectures (40) • Tutorials (13) Evaluation scheme There will be three tests all over the semester. 15 marks for the Test-I (1 hr). 25 marks for the Test-II (1 hr 30 minutes). 35 marks for the Test-III (2 hr). 25 marks for internal assessment and class tests( includes surprise tests ,assignments and attendance)

  3. BOOKS • Text Book: (available in library and will be uploaded in SM) • OPTICS by Ajoy Ghatak • Concepts of Modern Physics by A. Beiser • Reference Book: • OPTICS, Eugene Hecht, Pearson Education. • Fundamental of Optics, Jenkins & White.

  4. 10B11PH111 • INTERFERENCE • DIFFRACTION • POLARIZATION • RELATIVITY • RADIATION • ATOMIC STRUCTURE • STATISTICAL • DISTRIBUTIONS • LASERS WAVE / PHYSICAL OPTICS MODERN PHYSICS

  5. INTERFERENCE

  6. An interference pattern involving water waves is produced by two vibrating sources at the water’s surface.

  7. DIFFRACTION

  8. POLARIZATION

  9. RELATIVITY

  10. RADIATIONS

  11. ATOMIC STRUCTURE

  12. STATISTICAL • DISTRIBUTIONS

  13. Light Amplificationby Stimulated Emissionof Radiation LASER

  14. INTERFERENCE

  15. Wave Waves are characterized by crest (highs) and trough(lows) • There are two types of common waves. • Sound wave • Light wave

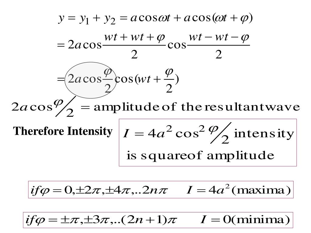
  16. Physical Description of a Wave wavelength Amplitude frequency phase waves of various frequencies; the lower waves have higher frequencies than those above.

  17. Phase difference and path difference For a path difference , phase difference = 2  so, for path difference x, the phase difference = So, phase difference  =

  18. Angular frequency angular frequency ω (also called angular speed) is a scalar measure of rotation rate. Angular frequency is a measure of how fast an object is rotating • The period T of the motion is the time taken for the particle to go through one full circle. • T = 2/ • Frequency f =1/T

  19. What is light? Electromagnetic radiation of any wavelength. • The three basic dimensions of light : • Intensity • Frequency • Polarization

  20. Coherent Sources Sources emitting light waves of the same frequency, nearly same amplitude and are always in phase with each other or having a constant phase relationship between them are called Coherent sources Note : No two independent sources are coherent

  21. Two ways to get coherent source • Division of wave front. • Young’s double slit • Loyd Mirror • Division of amplitude : • Thin film interference

  22. II I Virtual source S1 Monochromatic source S S2 DIVISION OF AMPLITUDE DIVSION OF WAVE FRONT

  23. Young’s Double Slit Experiment

  24. Young’s Experiment (Double Slit Expt.) Before going to discuss the position of Max and Min on the screen, Let us understand superposition of two waves which provides the resultant intensity.

  25. Superposition Of Two Waves: Interference

  26. Interference Interference is the superposition of two or more coherent waves resulting in a new wave pattern. There are two types of interference Constructive Destructive Two waves in phase Two waves 180° outof phase

  27. Condition for constructive interference Condition for destructive interference Note: In each case n = 0,1,2….

  28. Superposition of two waves (equal amplitude): Intensity distribution P S1 Let y1 and y2 are the displacements of two waves coming from S1 and S2 S2 • is the phase difference between two waves reaching At P from S1 and S2, a be the amplitude of wave.

  29. Therefore Intensity

  30. For incoherent light Can we prove it? =sum of intensity of constituent waves.

  31. Show that Sol:

  32. Visibility of the fringes (V)

  33. S1 yn d/2 O d/2 S2 D THE INTERFERENCE FRINGES P d At point P for maxima we must have S2P – S1P = n, n = 0,1,2,3… L

  34. If d<D then S2PS1PD. Thus S2P+S1P=2D and S2P – S1P = n

  35. Thus position of nth bright fringe on the screen So we get, position of nth darkfringe on the screen Distance between any two consecutive bright or dark fringes (Fringe width) Fringe width…….. Proportional to the wavelength of source. Proportional to the distance of the screen from plane of S1 and S2. Inversely proportional to the distance between S1 and S2.

  36. Separation between dark and bright fringes • O is equidistant from S1 and S2 so light waves superposed at O are in phase so light intensity at O will be maximum. • At O, we observe the central bright fringe. For this fringe n=0 y = 0. So central bright fringe will be referred as zeroth order bright fringe. S1 O S2

  37. Numerical • In a certain region of interference 45th order maximum for the wavelength  = 5893 Å are obtained. What will be the order of interference at the same place for (a)  = 4820 Å, (b)  = 7576 Å. Ans: (a) 55th (b)35th

More Related