1 / 46

Pertemuan-4 : Recurrences

Pertemuan-4 : Recurrences. Pendahuluan: Pengertian, contoh, dll Metode substitusi Metode pohon rekursi Metode master. Lahir : Hungary, February 17, 1905. Meninggal : Hungary, February 16, 1977. Penemu fungsi rekursif. Pendahuluan.

josh
Download Presentation

Pertemuan-4 : Recurrences

An Image/Link below is provided (as is) to download presentation Download Policy: Content on the Website is provided to you AS IS for your information and personal use and may not be sold / licensed / shared on other websites without getting consent from its author. Content is provided to you AS IS for your information and personal use only. Download presentation by click this link. While downloading, if for some reason you are not able to download a presentation, the publisher may have deleted the file from their server. During download, if you can't get a presentation, the file might be deleted by the publisher.

E N D

Presentation Transcript


  1. Pertemuan-4 : Recurrences Pendahuluan: Pengertian, contoh, dll Metode substitusi Metode pohon rekursi Metode master

  2. Lahir : Hungary, February 17, 1905 Meninggal : Hungary, February 16, 1977 Penemu fungsi rekursif

  3. Pendahuluan • Ada kalanya kita mengalami kesulitan untuk mendefinisikan suatu objek secara eksplisit. • Dalam kasus ini, mungkin lebih mudah untuk mendefinisikan objek tersebut menggunakan dirinya sendiri. Ini dinamakan sebagai proses rekursif • Kita dapat mendefinisikan barisan, himpunan atau fungsi secara rekursif.

  4. Langkah-langkah mendefinisikan barisan secara rekursif: • Langkah basis: Spesifikasi anggota awal. • Langkah rekursif: Berikan aturan untuk membangun anggota baru dari anggota yang telah ada.

  5. Contoh barisan yang didefinisikan secara rekursif Berikan definisi rekursif dari an=rn, dengan rBulat, r ≠ 0 dan n bilangan bulat positif. Solusi: Definisikan a0 = r0= 1 dan an+1 = r.an untuk n = 0, 1, 2, …

  6. Langkah-langkah mendefinisikan fungsi secara rekursif dgn domain bil. cacah • Langkah basis: Tentukan nilai fungsi pada saat nol • Langkah rekursif: Berikan aturan untuk mencari nilai fungsi untuk setiap bilangan bulat berdasarkan nilai fungsi pada bilangan bulat yang lebih kecil. Definisi seperti itu disebut rekursif atau definisi induktif

  7. Contoh fungsi yang didefinisikan secara rekursif f(0) = 3 f(n + 1) = 2f(n) + 3 maka • f(0) = 3 • f(1) = 2f(0) + 3 = 23 + 3 = 9 • f(2) = 2f(1) + 3 = 29 + 3 = 21 • f(3) = 2f(2) + 3 = 221 + 3 = 45 • f(4) = 2f(3) + 3 = 245 + 3 = 93

  8. Bilangan Fibonacci • f0 = 0, f1 = 1 • fn = fn-1+ fn-2, n=2,3,4,… f0= 0 f1= 1 f2= f1+ f0= 1 + 0 = 1 f3= f2+ f1= 1 + 1 = 2 f4= f3+ f2= 2 + 1 = 3 f5= f4+ f3= 3 + 2 = 5 f6= f5+ f4= 5 + 3 = 8

  9. Pertumbuhan populasi kelinci Sepasang kelinci ditaruh di suatu pulau. Pasangan kelinci ini tidak akan beranak sampai berumur 2 bulan. Setelah berumur 2 bulan, setiap sepasang menghasilkan sepasang yg lain setiap bulannya. Tentukan relasi recurrence dari jumlah pasangan setelah n bulan, bila tidak ada kelinci yg mati.

  10. Populasi kelinci: • bulan 0 : 1 pasang • bulan 1 : 1 pasang • bulan 2 : 1 + 1 pasang • bulan 3 : 2 + 1 pasang • bulan 4 : 3 + 2 pasang • ... • bulan n : bulan(n-1) + bulan(n-2) pasang

  11. Solusi: • Misalkan fn: jumlah pasangan kelinci setelah n bulan, maka, f1 = 1, f2 = 1. • Untuk mencari fn, tambahkan jumlah pasangan pada bulan sebelumnya, fn-1, dengan jumlah pasangan yang baru lahir, fn-2. • Jadi, fn = fn-1 + fn-2.

  12. Solusi: dengan disebut golden ratio

  13. Andaikan:

  14. Komputasi rekursif: recFib(n) { if (n ≤ 1) return n else return recFib(n-1) + recFib(n-2) }

  15. T(n) = T(n-1) + T(n-2) 2T(n-2) ≤ T(n-1) + T(n-2) ≤ 2T(n-1) T(n) = O(2n) T(n) = Ω(2n/2)

  16. Komputasi iteratif: IterFib (n) { f[0] = 0; f[1] = 1; for ( i=2 ; i ≤ n ; i++) f[i] = f[i-1] + f[i-2]; } T(n) = O(n)

  17. Relasi rekursif (Recurrence) • Relasi Recurrence untuk barisan {an} adalah persamaan yang menyatakan an dalam satu atau lebih bentuk a0, a1, …, an-1 untuk semua n dengan n  n0dimana n0 bilangan bulat non-negatif. • Barisan {an} tersebut dikatakan sebagai solusi dari relasi recurrence ini bila an memenuhi relasi recurrence.

  18. Penyelesaian relasi rekursif • Metode substitusi:dengan cara membuat tebakan terhadap solusinya, kemudian tebakan tsb dibuktikan dengan induksi matematika • Metode (pohon) rekursif:dengan caramengubah bentuk rekursif menjadi bentuk penjumlahan, kemudian diselesaikan. • Metode master:digunakan utk menyelesaikan pers rekursif dalam bentuk : T(n) = aT(n/b) + f(n)

  19. Metode substitusi Diketahui : Buktikan bahwa: Buat tebakan T(n) = O(√n), berarti T(n) ≤ c√n

  20. Bukti: dengan induksi matematika Basis induksi : n = 1, c=4T(1) = 1 ≤ c√1  ,  c > 0 Langkah induksi: (c/√2 + 1) ≤ c   benar untuk c = 4

  21. Selesaikan T(n) = 2T ([n/2]) + n, T(1)=1 Misalnya digunakan tebakan : O(n log n) T(n) = 2 T([n/2]) + n , T(1) = 1 T(n) ≤ 2(c[n/2]log([n/2])) + n ≤ c.n.lg([n/2]) + n ≤ c.n.lg n - c.n.lg 2 + n ≤ c.n.lg n - c.n + n ≤ c.n.lg n yang berlaku untuk c ≥ 1

  22. Metode iterasi/ rekursif: • Metode iterasi tidak memerlukan tebakan solusinya, tetapi memerlukan manipulasi aljabar yang lebih intensif dari pada metode substitusi. • Ide dasarnya adalah dengan mengembangkan bentuk rekursif tersebut serta merepresentasi-kannya dalam bentuk jumlah. Teknik untuk mengevaluasi bentuk jumlah dapat digunakan untuk mendapatkan nilai batas dari solusinya.

  23. Contoh: Tentukan T(n), bila T(1) = 1 T(n) = T(n-1) + 1/n Jawab: Bila bentuk rekursif diuraikan: (lihat Cormen 3.9)

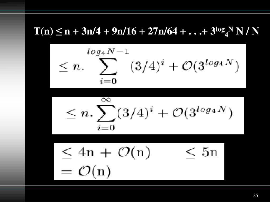
  24. Contoh: T(n) = 3T([n/4])+ n Bila bentuk rekursif diuraikan: T(n) = n + 3T([n/4]) = n + 3([n/4]) + 3T(n/4[/4])) = n + 3([n/4]+ 3([n/16]+ 3T(n/64))) = n + 3n/4+ 9n/16+ 27T(n/64) Suku ke-i berbentuk 3in/4i Oleh karena n berkurang sebesar 4 pada setiap iterasi, maka proses berlangsung sampai log4N langkah

  25. T(n) ≤ n + 3n/4 + 9n/16 + 27n/64 + . . .+ 3log4N N / N

  26. Menara Hanoi Merupakan sebuah puzzle populer yang ditemukan oleh seorang matematikawan Perancis Edouard Lucas pada abad 19 Terdapat menara dengan 3 tiang untuk meletakkan sejumlah disk berukuran berbeda. Awalnya semua disk terletak secara terurut pada tiang pertama dengan disk terbesar paling bawah Aturan: Satu disk dapat dipindahkan setiap waktu dari satu tiang ke tiang lain selama disk tsb tidak berada di atas disk yang lebih kecil. Tujuan: Memindahkan semua disk ke tiang kedua dengan disk terbesar di urutan paling bawah.

  27. Misalkan Hn: banyaknya langkah yg diperlukan untuk memindahkan n disk dalam masalah menara Hanoi. • Kita mulai dengan n disk pada tiang 1. Kita dapat memindahkan n-1 disk paling atas dengan mengikuti aturan ke tiang 3 dalam Hn-1 langkah. • Kemudian, dengan menggunakan 1 langkah kita bisa memindahkan disk terbesar ke tiang 2. • Selanjutnya, pindahkan n-1 disk dari tiang 3 ke tiang 2, dengan mengikuti aturan dalam Hn-1 langkah. Dengan demikian, kita telah memecahkan puzzle dengan banyak langkah: Hn = 2Hn-1 + 1 dan H1 = 1.

  28. Untuk mencari solusinya, dilakukan proses iteratif: Hn = 2Hn-1 + 1 = 2(2Hn-2 + 1)+1 = 22Hn-2 + 2 +1 = 22(2Hn-3 +1) + 2 +1 = 23Hn-3 + 22 + 2 +1 … = 2n-1H1 + 2n-2 + 2n-3 + … + 2 +1 = 2n-1 + 2n-2 + 2n-3 + … + 2 +1 (deret geometri) = 2n - 1 Jadi, untuk memindahkan 64 disk diperlukan langkah sebanyak: 264 - 1 = 18,446,744,073,709,551,615.

  29. Contoh: T(n) = aT([n/4])+ n

  30. a = 3

  31. a = 4

  32. a = 5

  33. Metode Master • Metode master menyediakan semacam “cookbook” untuk menyelesaikan persamaan rekursif dalam bentuk: T(n) = aT(n/b) + f(n) dengan a ≥ 1 dan b > 1 adalah konstanta dan f(n) adalah fungsi yang secara asimtotik positif. • Dalam metode master perlu diingat 3 kasus, namun sesudahnya bentuk-bentuk rekursif dapat diselesaikan dengan lebih mudah.

  34. Kasus I:T(n) = aT(n/b) + f(n)     a ≥ 1 ,   b > 1 jika  f(n) = O(nlogb(a-ε)), ε > 0  maka T(n) = Θ(nlogba) dhi, f(n) secara polinomial lebih kecildari nlogba dengan faktor nε, shg nlogba mendominasi

  35. Contoh: Jadi kasus I, shg:

  36. Kasus II: T(n) = aT(n/b) + f(n)     a ≥ 1 ,   b > 1 jika  f(n) = Θ(nlogba)maka T(n) = Θ(nlogbalog n) dhi, cost setiap langkah adalah nlogba sehingga, padahal ada sebanyak log nlangkah, jadi T(n) = Θ(nlogbalog n)

  37. Contoh: Jadi kasus II, shg:

  38. Kasus III: T(n) = aT(n/b) + f(n)     a ≥ 1 ,   b > 1 jika  f(n) = Ω(nlogb(a+ε)), ε > 0 dan a f(n/b) ≤ c f(n) untuk c < 1 maka T(n) = Θ(f(n)) dhi, f(n) > nlogba dgn faktor polinomial sehingga suku dominan adalahf(n) + f(n/b) + f(n/b2)… O(f(n))

  39. Contoh: Jadi kasus III, krn f(n) mendominasi

  40. Gunakan metode Master untuk menentukan T(n) = Θ(?) bila : T(n) = 7T(n/2) + n2 Solusi:a = 7, b = 2, f(n) = n2, nlog27 = n2.803..n2 = O(nlog27 - ε), oleh karena n2 ≤ cn2.803..- ε    ε, c > 0

  41. Gunakan metode Master untuk menentukan T(n) = Θ(?) bila : T(n) = 4T(n/2) + n2 Solusi:a = 4, b = 2, f(n) = n2n2 = Θ(n log24) = Θ(n2)

  42. Solusi:a = 2, b = 3, f(n) = n3nlog32 = n0.63..n3 = Ω(nlog32+ ε) ok n3 ≥ cn0.63+ ε    ε, c > 0 dan    2f(n/3) = 2n3/27 ≤ cn3  utk 2/27 < c < 1 Gunakan metode Master untuk menentukan T(n) = Θ(?) bila : T(n) = 2T(n/3) + n3

  43. Solusi:a = 3, b = 2, f(n) = n lognnlogn = O(n log23 - ε)nlogn ≤ cn1.5logn < cn0.5c = 1, n0 = 16 Gunakan metode Master untuk menentukan T(n) = Θ(?) bila : T(n) = 3T(n/2) + nlogn

  44. Gunakan metode Master untuk menentukan T(n) = Θ(?) bila : Solusi:a = 2, b = 2, f(n) = 10n, logba = log22 = 1 dapat dicek bahwa jadi

  45. Metode Master yg umum

  46. sekian & terima kasih

More Related