hera
Uploaded by
53 SLIDES
734 VIEWS
530LIKES

Presentation Plan

DESCRIPTION

TEORIA MACROECONÔMICA II ECO1217 Um Modelo IS-LM com Restrição de Financiamento Externo para Explicar As Crises Brasileiras do Século XXI Aula 21 - 19/05/2005 Professores: Dionísio Dias Carneiro Márcio Gomes Pinto Garcia. Presentation Plan. Introduction Floating Period Stylized Facts

1 / 53

Download Presentation

Presentation Plan

An Image/Link below is provided (as is) to download presentation Download Policy: Content on the Website is provided to you AS IS for your information and personal use and may not be sold / licensed / shared on other websites without getting consent from its author. Content is provided to you AS IS for your information and personal use only. Download presentation by click this link. While downloading, if for some reason you are not able to download a presentation, the publisher may have deleted the file from their server. During download, if you can't get a presentation, the file might be deleted by the publisher.

E N D

Presentation Transcript


  1. TEORIA MACROECONÔMICA IIECO1217Um Modelo IS-LM com Restrição de Financiamento Externo para Explicar As Crises Brasileiras do Século XXIAula 21 - 19/05/2005 Professores: Dionísio Dias CarneiroMárcio Gomes Pinto Garcia

  2. Presentation Plan • Introduction • Floating Period Stylized Facts • The CK Model for Segmented Financial Markets • Policy Conclusions

  3. TABLE 1: Macroeconomic Indicators of the Floating Period of the Real Plan 1999 2000 2001 * 2002 GDP Growth 0.8% 4.4% 1.5% 1.5% Inflation (CPI) 8.9% 6.0% 7.7% 12.5% Exchange Rate Depreciation 48.0% 9.3% 18.7% 52.3% Nominal Interest Rate (Selic) 24.8% 17.4% 17.2% 19.2% Real Interest Rate 14.6% 10.8% 8.9% ** 11.1% Fiscal Surplus (%GDP) Primary 3.3% 3.6% 3.8% 3.9% Nominal -5.8% -3.6% -3.5% -4.6% Current Account USD Billion -25.3 -24.2 -23.2 -7.8 %GDP -4.8% -4.1% -4.6% -1.7% *Source: Averageforecast compiled by the Brazilian Central Bank (available at http://www4.bcb.gov.br/gci/Readout/R20021220.pdf). **Computedwith the year-end forecast for the nominal Selic rate of 25%.

  4. EQUATION (1) it : domestic interest rate it*: international interest rate fpt : forward premium Et(ln(ST/S0)) : expected depreciation CURt : currency risk premium

  5. Interest Rate Decomposition

  6. Interest Rate Decomposition

  7. Interest Rate Decomposition

  8. Interest Rate Decomposition

  9. Measures of Country Risk Premium for Brazil

  10. EQUATION (1) it : domestic interest rate it*: international interest rate fpt : forward premium Et(ln(ST/S0)) : expected depreciation CURt : currency risk premium

  11. EQUATION (2) it : domestic interest rate it*: international interest rate fpt : forward premium Et(ln(ST/S0)) : expected depreciation CURt : currency risk premium CIPDt : covered-interest-parity differential

  12. Interest and Exchange Rates: The First Crisis Bout

  13. Interest and Exchange Rates: The First Crisis Bout

  14. Interest and Exchange Rates: The First Crisis Bout

  15. Interest and Exchange Rates: The First Crisis Bout

  16. Interest and Exchange Rates: The First Crisis Bout

  17. Interest and Exchange Rates: The First Crisis Bout

  18. The First Crisis Bout (2001)

  19. The Second Crisis Bout (2002)

  20. Forward Premium Decomposition: Expected Depreciation and Currency Risk Premium

  21. Forward Premium Decomposition: Expected Depreciation and Currency Risk Premium

  22. Forward Premium Decomposition: Expected Depreciation and Currency Risk Premium

  23. Forward Premium Decomposition: Expected Depreciation and Currency Risk Premium

  24. BRL and USD Domestic Yield Curves: 10/22/2002

  25. Summary of Stylized Facts In both large depreciation episodes, 2001 and 2002, the country risk measure given by the C-Bond spread increased, although the increase was much more pronounced in the latter episode than in the former. This latter episode is associated with large exchange rate outflows from Brazil. In the 2001 episode, the country-risk measure given by the covered-interest-parity differential and the domestic USD interest rate decreased, while they increased significantly during the 2002 episode. Conversely, the forward premium increased substantially in 2001, and became negative in 2002. The negative forward premium gave rise to an inverted yield curve of USD domestic rates that surpassed the BRL yield curve for maturities up to one-year. The 2002 depreciation created an expectation of nominal appreciation of the BRL, a very unusual situation. Nevertheless, the currency risk remained positive in both depreciation episodes.

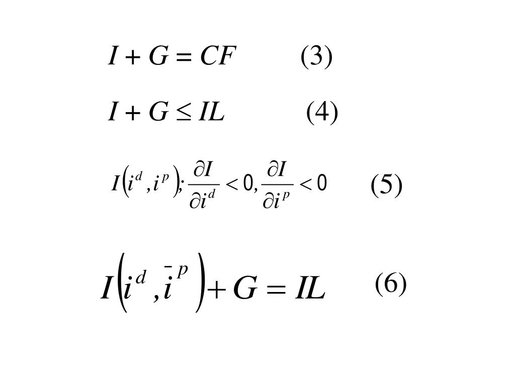
  26. A version of the Caballero and Krishnamurthy [2002] model for segmented financial markets I + G = CF (3) I : domestic investment, G : government outlays, CF : net capital inflows

  27. I + G = CF (3) I + GIL (4) IL: international liquidity (financial claims on future cash flows that can be sold to foreign and domestic lenders alike)

  28. I + G = CF (3) I + GIL (4) (5)

  29. (a) Dual-Liquidity Model

  30. (a) Dual-Liquidity Model (b) Standard Model Figure 1: External Crises

  31. I + G = CF (3) I + GIL (4) (5) (6)

  32. I + G = CF (3) I + GIL (4) (5) (6) (7)

  33. I + G = CF (3) I + GIL (4) (5) (6) (7) (8)

  34. Figure 2: Equilibrium

  35. I + G = CF (3) I + GIL (4) (5) (6) (7) (8)

  36. Figure 3: Interest and Exchange Rate

  37. Exchange Rate and Country & Term Risk Premia

  38. Exchange Rate and Country & Term Risk Premia

  39. Exchange Rate and Country & Term Risk Premia

  40. CONCLUSION • To further the financial integration of the Brazilian economy with international financial markets. This will increase the amount of international liquidity of the economy.

  41. CONCLUSION • To increase the exportability of the economy. This implies both larger exports and larger imports. It is not akin to import substitution.

  42. CONCLUSION • To increase the fiscal effort, in order to help dispel the doubts over the sustainability of the public debt. If the goal is achieved, the initial fiscal effort will support higher growth, lower interest expenditures and higher fiscal revenues.

  43. CONCLUSION • To increase the credibility of the monetary authority, by conferring instrument independence to the Brazilian Central Bank to use monetary policy to achieve the inflation target set outside the Central Bank in the best possible way.

  44. CONCLUSION • To resume the debt management efforts to lengthen the debt profile while reducing the indexation to the exchange rate and to the Selic short term rate. This will require larger use of inflation-linked bonds

  45. Seguem os gráficos atualizados

  46. FED FUNDS AND SELIC RATES

  47. Interest Rate Decomposition

  48. Measures of Country Risk Premium for Brazil

More Related