1 / 60

20.6 Sources of Esters

20.6 Sources of Esters. O. CH 3 C O CH 2 CH 2 CH(CH 3 ) 2. Esters are very common natural products. also called "isopentyl acetate" and "isoamyl acetate" contributes to characteristic odor of bananas. 3-methylbutyl acetate. O. CH 2 O CR'. O. RC O CH. CH 2 O CR". O. Esters of Glycerol.

denton
Download Presentation

20.6 Sources of Esters

An Image/Link below is provided (as is) to download presentation Download Policy: Content on the Website is provided to you AS IS for your information and personal use and may not be sold / licensed / shared on other websites without getting consent from its author. Content is provided to you AS IS for your information and personal use only. Download presentation by click this link. While downloading, if for some reason you are not able to download a presentation, the publisher may have deleted the file from their server. During download, if you can't get a presentation, the file might be deleted by the publisher.

E N D

Presentation Transcript


  1. 20.6Sources of Esters

  2. O CH3COCH2CH2CH(CH3)2 Esters are very common natural products • also called "isopentyl acetate" and "isoamyl acetate" • contributes to characteristic odor of bananas 3-methylbutyl acetate

  3. O CH2OCR' O RCOCH CH2OCR" O Esters of Glycerol • R, R', and R" can be the same or different • called "triacylglycerols," "glyceryl triesters," or "triglycerides" • fats and oils are mixtures of glyceryl triesters

  4. O CH2OC(CH2)16CH3 O CH3(CH2)16COCH CH2OC(CH2)16CH3 O Esters of Glycerol Tristearin: found in many animal and vegetable fats

  5. O CH2(CH2)6CH3 O H H Cyclic Esters (Lactones) (Z)-5-Tetradecen-4-olide(sex pheromone of female Japanese beetle)

  6. Preparation of Esters • Fischer esterification (Sections 15.8 and 19.14) • from acyl chlorides (Sections 15.8 and 20.4) • from carboxylic acid anhydrides (Sections 15.8and 20.5) • Baeyer-Villiger oxidation of ketones (Section 17.16)

  7. 20.7Physical Properties of Esters

  8. CH3 CH3CHCH2CH3 OH CH3CHCH2CH3 Boiling Points boilingpoint • Esters have higher boiling points than alkanes because they are more polar. • Esters cannot form hydrogen bonds to other ester molecules, so have lower boiling points than alcohols. 28°C O 57°C CH3COCH3 99°C

  9. CH3 CH3CHCH2CH3 OH CH3CHCH2CH3 Solubility in Water Solubility(g/100 g) • Esters can form hydrogen bonds to water, so low molecular weight esters have significant solubility in water. • Solubility decreases with increasing number of carbons. ~0 O 33 CH3COCH3 12.5

  10. 20.8Reactions of Esters:A Review and a Preview

  11. Reactions of Esters • with Grignard reagents (Section 14.10) • reduction with LiAlH4 (Section 15.3) • with ammonia and amines (Sections 20.11) • hydrolysis (Sections 20.9 and 20.10)

  12. 20.9Acid-Catalyzed Ester Hydrolysis

  13. O O H+ + RCOR' H2O RCOH Acid-Catalyzed Ester Hydrolysis is the reverse of Fischer esterification • maximize conversion to ester by removing water • maximize ester hydrolysis by having large excess of water • equilibrium is closely balanced because carbonyl group ofester and of carboxylic acid are comparably stabilized + R'OH

  14. O + H2O CHCOCH2CH3 Cl HCl, heat O + CH3CH2OH CHCOH Cl Example (80-82%)

  15. Mechanism of Acid-CatalyzedEster Hydrolysis • Is the reverse of the mechanism for acid-catalyzed esterification. • Like the mechanism of esterification, it involves two stages: • 1) formation of tetrahedral intermediate (3 steps) • 2) dissociation of tetrahedral intermediate (3 steps)

  16. O + RCOR' H2O OH OR' RC OH First stage: formation of tetrahedral intermediate • water adds to the carbonyl group of the ester • this stage is analogous to the acid-catalyzed addition of water to a ketone H+

  17. O RCOH OH OR' RC OH Second stage: cleavage of tetrahedralintermediate + R'OH H+

  18. Mechanism of formationoftetrahedral intermediate

  19. H H O •• + H H •• + H O O •• •• H RC O R' •• •• Step 1 •• O •• RC O R' •• ••

  20. •• H O •• RC + O R' •• •• + H O RC O R' •• Step 1 • carbonyl oxygen is protonated because cation produced is stabilized by electron delocalization (resonance) ••

  21. •• OH H •• + RC O •• H OR' •• •• •• + H O H RC O •• •• H O R' •• •• Step 2

  22. •• OH H •• + H RC O •• O H •• •• OR' •• •• H •• OH H •• H RC O •• + •• O H •• OR' •• •• H Step 3

  23. Cleavage of tetrahedralintermediate

  24. •• OH •• •• H RC OH •• + O •• •• O H •• R' H •• OH •• •• RC OH H •• O O H •• •• •• R' + H Step 4

  25. •• OH •• •• RC OH •• + O H •• R' •• OH •• •• + O RC H •• R' + •• OH •• Step 5

  26. •• •• + OH OH •• RC RC + •• •• OH OH •• •• Step 5

  27. •• H H O + H •• O •• •• H H O RC •• •• OH •• •• + O H RC •• OH •• Step 6

  28. Key Features of Mechanism • Activation of carbonyl group by protonation of carbonyl oxygen • Nucleophilic addition of water to carbonyl groupforms tetrahedral intermediate • Elimination of alcohol from tetrahedral intermediate restores carbonyl group

  29. O COCH2CH3 O COCH2CH3 18O Labeling Studies + H2O • Ethyl benzoate, labeled with 18O at the carbonyl oxygen, was subjected to acid-catalyzed hydrolysis. • Ethyl benzoate, recovered before the reaction had gone to completion, had lost its 18O label. • This observation is consistent with a tetrahedral intermediate. H+ + H2O

  30. O COCH2CH3 OH OCH2CH3 C H+ OH O + COCH2CH3 H2O 18O Labeling Studies + H2O H+

  31. 20.10Ester Hydrolysis in Base:Saponification

  32. O O + RCOR' HO– RCO– Ester Hydrolysis in Aqueous Base • is called saponification • is irreversible, because of strong stabilization of carboxylateion • if carboxylic acid is desired product, saponification is followedby a separate acidification step (simply a pH adjustment) + R'OH

  33. O CH2OCCH3 CH3 O CH2OH CH3CONa CH3 Example + NaOH water-methanol, heat + (95-97%)

  34. O H2C CCOCH3 CH3 1. NaOH, H2O, heat 2. H2SO4 O H2C CCOH CH3 Example + CH3OH (87%)

  35. O CH2OC(CH2)xCH3 O CH3(CH2)yCOCH CH2OC(CH2)zCH3 O O O O Soap-Making • Basic hydrolysis of the glyceryl triesters (from fats and oils) gives salts of long-chain carboxylic acids. • These salts are soaps. K2CO3, H2O, heat CH3(CH2)xCOK CH3(CH2)yCOK CH3(CH2)zCOK

  36. •• •• O O •• •• – – •• •• •• •• + RCO + R' OH R'OH RCO •• •• •• •• •• •• Which bond is broken when esters arehydrolyzed in base? • One possibility is an SN2 attack by hydroxide on the alkyl group of the ester. Carboxylate is the leaving group.

  37. •• •• O O •• •• – – •• •• •• •• RC OR' OH OR' RC OH •• •• •• •• •• •• Which bond is broken when esters arehydrolyzed in base? • A second possibility is nucleophilic acyl substitution. + +

  38. O + CH3CH2COCH2CH3 NaOH O + CH3CH2CONa CH3CH2OH 18O Labeling gives the answer • 18O retained in alcohol, not carboxylate; therefore nucleophilic acyl substitution.

  39. H O C6H5 CH3C C O CH3 H O C6H5 CH3COK C HO CH3 Stereochemistry gives the same answer • alcohol has same configuration at chirality center as ester; therefore, nucleophilic acyl substitution • not SN2 KOH, H2O +

  40. •• •• O O •• •• – – •• •• •• •• RC OR' OH OR' RC OH •• •• •• •• •• •• Does it proceed via a tetrahedral intermediate? • Does nucleophilic acyl substitution proceed in a single step, or is a tetrahedral intermediate involved? + +

  41. O COCH2CH3 O COCH2CH3 18O Labeling Studies + H2O • Ethyl benzoate, labeled with 18O at the carbonyl oxygen, was subjected to hydrolysis in base. • Ethyl benzoate, recovered before the reaction had gone to completion, had lost its 18O label. • This observation is consistent with a tetrahedral intermediate. HO– + H2O

  42. O COCH2CH3 OH OCH2CH3 C OH O COCH2CH3 18O Labeling Studies + H2O HO– HO– + H2O

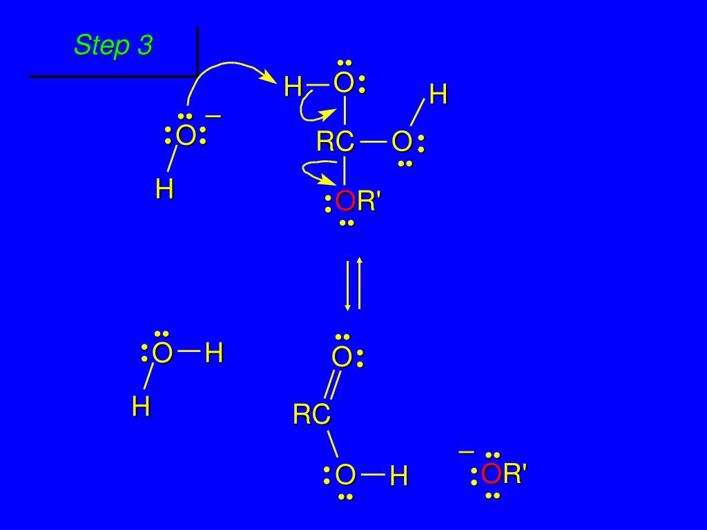
  43. Mechanism of Ester Hydrolysisin Base • Involves two stages: • 1) formation of tetrahedral intermediate2) dissociation of tetrahedral intermediate

  44. O + RCOR' H2O OH OR' RC OH First stage: formation of tetrahedral intermediate • water adds to the carbonyl group of the ester • this stage is analogous to the base-catalyzed addition of water to a ketone HO–

  45. O RCOH OH OR' RC OH Second stage: cleavage of tetrahedralintermediate + R'OH HO–

  46. Mechanism of formationoftetrahedral intermediate

  47. •• O •• H RC O •• •• – •• OR' •• •• – •• O H •• •• RC O •• •• OR' •• •• Step 1

  48. •• O H H •• – •• O RC O •• •• •• •• H OR' •• •• – •• •• O H O •• H •• •• H RC O •• •• OR' •• •• Step 2

  49. Dissociation oftetrahedral intermediate

  50. •• O H H •• – •• O RC O •• •• •• •• H OR' •• •• •• •• O H O •• •• H RC – •• OR' O H •• •• •• •• Step 3

More Related