1 / 23

Parametri farmacocinetici e modelli compartimentali Renato Urso

Parametri farmacocinetici e modelli compartimentali Renato Urso Dipartimento di Farmacologia “Giorgio Segre” Università di Siena. Assorbimento, distribuzione e eliminazione dei farmaci. I dati di farmacocinetica. Perché la farmacocinetica è importante.

breck
Download Presentation

Parametri farmacocinetici e modelli compartimentali Renato Urso

An Image/Link below is provided (as is) to download presentation Download Policy: Content on the Website is provided to you AS IS for your information and personal use and may not be sold / licensed / shared on other websites without getting consent from its author. Content is provided to you AS IS for your information and personal use only. Download presentation by click this link. While downloading, if for some reason you are not able to download a presentation, the publisher may have deleted the file from their server. During download, if you can't get a presentation, the file might be deleted by the publisher.

E N D

Presentation Transcript


  1. Parametri farmacocinetici e modelli compartimentali Renato Urso Dipartimento di Farmacologia “Giorgio Segre” Università di Siena

  2. Assorbimento, distribuzione e eliminazione dei farmaci. I dati di farmacocinetica

  3. Perché la farmacocinetica è importante Gli studi compiuti nell’animale da laboratorio danno indicazioni utili per la ricerca e lo sviluppo di nuovi farmaci La farmacocinetica serve come supporto agli studi di tossicologia preclinica condotti nell’animale (tossicocinetica) perché i livelli di farmaco in circolo sono spesso più predittivi della dose nell’estrapolare i dati di tossicità all’uomo. Le informazioni ottenute sulla cinetica e sugli effetti (farmacodinamica) del farmaco nell’uomo forniscono un valido razionale per definire l’utilizzo migliore del farmaco stesso in terapia Importante è anche il fatto che la relazione tra livelli ed effetti del farmaco è in genere indipendente dalla formulazione, quindi, per esempio, se diverse formulazioni orali producono livelli di farmaco sovrapponibili, allora queste possono essere considerate interscambiabili (bioequivalenza).

  4. Descrizione dei dati di farmacocinetica La mole di dati acquisiti durante le sperimentazioni di farmacocinetica è spesso ingente, di conseguenza diviene necessario riassumere sinteticamente tutte le osservazioni effettuate. In molti protocolli sperimentali i tempi dei prelievi sono scelti in modo da essere uguali per tutti i soggetti, quindi è buona pratica prima di elaborare i dati mettere in grafico non solo i livelli relativi ad ogni singolo soggetto, ma anche i valori medi e le deviazioni standard (d.s.). Successivamente è sempre opportuno calcolare dei parametri che descrivano le caratteristiche più importanti di ciascuna curva e poi stimare la media e la deviazione standard di questi parametri nella popolazione. A tale scopo si definiscono i seguenti parametri: - tempo di picco ( Tmax) - concentrazione di picco (Cmax) - semivita della fase di scomparsa terminale (t1/2) - area sotto la curva (AUC) Quando il protocollo prevede campionamenti anche nelle urine, a questi parametri occorre aggiungere le quantità di farmaco escreto o le percentuali della dose escreta nelle urine.

  5. Tmax e Cmax Il tempo di picco (Tmax) e la concentrazione di picco (Cmax) si ottengo direttamente dalla serie dei dati relativi ai singoli soggetti.

  6. Semivita: t1/2 Le semivita (t1/2) è un parametro che viene utizzato per descrivere la pendenza delle curve di concentrazione nella loro fase di scomparsa terminale e il suo significato è legato ad una proprietà matematica della funzione monoesponenziale.

  7. Esempi di curve multiesponenziali.

  8. Area sotto la curva: AUC L’area del trapezio A è: ( Cn-1 + Cn ) x ( tn - tn-1 ) / 2. La parte di area estrapolata ad infinito ( B ) si calcola dalla semivita : Clast / ( 0.693 / t1/2 . Le dimensioni sono sempre date da tempo x concentrazione e nell’esempio riportato si avrà: AUC = ng x h x ml-1.

  9. Funzioni multiesponenziali Una descrizione più accurata dell’esperimento si può ottenere interpolando le concentrazioni di farmaco con delle funzioni matematiche. Queste funzioni possono avere due scopi: primo rappresentare tutti i dati in forma concisa, secondo verificare se le ipotesi incorporate nelle funzioni stesse siano confermate dalle osservazioni sperimentali. Nel primo caso si può parlare di simulazione dei dati, nel secondo di modello. Le funzioni generalmente utilizzate in farmacocinetica sono le funzioni multiesponenziali e i modelli di riferimento sono i modelli compartimentali. t1/2 = 0.693 / l.

  10. Modelli compartimentali I modelli che più frequentemente vengono utilizati in farmacocinetica sono i modelli compartimentali, e quindi i sistemi di equazioni differenziali lineari a coefficienti costanti. Questi modelli esprimono in termini matematici particolari ipotesi sulla cinetica di assorbimento, distribuzione ed eliminazione dei farmaci e la loro funzione è quella di fornire uno strumento per descrivere e interpretare i risultati degli studi di farmacocinetica.

  11. Rappresentazione grafica dei modelli compartimentali: si è usata la convenzione dei vettori riga.

  12. Utilizzo dei vettori riga (A) e vettori colonna (B). B A

  13. Modelli con bilancio di massa I modelli compartimentali sono utili anche quando è interesse del ricercatore fare dei bilanci di massa, cioè descrivere le quantità di farmaco che entrano in gioco nel determinare le concentrazioni nei diversi compartimenti. Quantità di farmaco assorbito, quantità di farmaco escreto, quantità di farmaco metabolizzato, per esempio, sono grandezze che messe in relazione alla dose somministrata forniscono importanti elementi di valutazione della cinetica del farmaco. vi = ai (t) / ci(t) A(t) = V C(t)

  14. Modello a un compartimento Modello catenario a due compartimenti

  15. a e b sono sempre per convenzione il maggiore ed il minore degli esponenti rispettivamente, mentre i parametri k21 e k10 sono praticamente interscanbiabili tra loro. Con questo si vuole dire che avendo a disposizione solo le misure di concentrazione nel compartimento 1, i parametri k21 e k10 non sono unicamente identificabili. A = 10 mg/ml a = 0.1 1/h b = 0.01 1/h

  16. Profilo plasmatico di un farmaco per diversi valori della costante di assorbimento

  17. Biodisponibilità

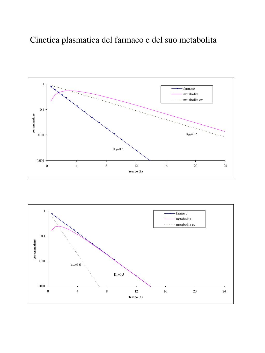
  18. Cinetica plasmatica del farmaco e del suo metabolita

  19. Modello a due compartimenti con eliminazione dal compartimento centrale

  20. Clearance dA(t)/dt = CL C(t) dove CL é la matrice delle clearance di trasferimento tra i compartimenti. Allora: dA(t)/dt = CL V-1 A(t) oppure: dC(t)/dt = V-1 CL C(t) e quindi: CL = Ka V oppure: CL = V Kc La clearance associata all’uscita dal sistema è un parametro particolarmente importante in farmacocinetica perché caraterizza la capacità che l’organismo ha di espellere le molecole di farmaco. Questo parametro viene comunemente calcolato dal seguente rapporto: CL = F. D / AUC Dove per CL non si intende più la matrice, ma semplicemente la clearance associata all’eliminazione, F è la frazione della dose D che entra in circolo e AUC è l’area sotto la curva.

  21. Clearance e flusso CL = Dose / AUC = f

  22. Modello a due compartimenti con eliminazione dal compartimento periferico (si utilizzano i vettori riga)

More Related