1 / 52

Filtering Solutions for Image Deblurring and Deconvolution Problems

Learn how to solve exemplary inverse problems, including image deblurring and deconvolution filter design, using various solution possibilities and principles of convolution. Explore different techniques and approaches for minimizing errors in image processing.

booker
Download Presentation

Filtering Solutions for Image Deblurring and Deconvolution Problems

An Image/Link below is provided (as is) to download presentation Download Policy: Content on the Website is provided to you AS IS for your information and personal use and may not be sold / licensed / shared on other websites without getting consent from its author. Content is provided to you AS IS for your information and personal use only. Download presentation by click this link. While downloading, if for some reason you are not able to download a presentation, the publisher may have deleted the file from their server. During download, if you can't get a presentation, the file might be deleted by the publisher.

E N D

Presentation Transcript


  1. Lecture 22 Exemplary Inverse ProblemsincludingFilter Design

  2. Syllabus Lecture 01 Describing Inverse ProblemsLecture 02 Probability and Measurement Error, Part 1Lecture 03 Probability and Measurement Error, Part 2 Lecture 04 The L2 Norm and Simple Least SquaresLecture 05 A Priori Information and Weighted Least SquaredLecture 06 Resolution and Generalized Inverses Lecture 07 Backus-Gilbert Inverse and the Trade Off of Resolution and VarianceLecture 08 The Principle of Maximum LikelihoodLecture 09 Inexact TheoriesLecture 10 Nonuniqueness and Localized AveragesLecture 11 Vector Spaces and Singular Value Decomposition Lecture 12 Equality and Inequality ConstraintsLecture 13 L1 , L∞ Norm Problems and Linear ProgrammingLecture 14 Nonlinear Problems: Grid and Monte Carlo Searches Lecture 15 Nonlinear Problems: Newton’s Method Lecture 16 Nonlinear Problems: Simulated Annealing and Bootstrap Confidence Intervals Lecture 17 Factor AnalysisLecture 18 Varimax Factors, Empircal Orthogonal FunctionsLecture 19 Backus-Gilbert Theory for Continuous Problems; Radon’s ProblemLecture 20 Linear Operators and Their AdjointsLecture 21 Fréchet DerivativesLecture 22 Exemplary Inverse Problems, incl. Filter DesignLecture 23 Exemplary Inverse Problems, incl. Earthquake LocationLecture 24 Exemplary Inverse Problems, incl. Vibrational Problems

  3. Purpose of the Lecture • solve a few exemplary inverse problems • image deblurring • deconvolution filters • minimization of cross-over errors

  4. Part 1 • image deblurring

  5. three point blur(applied to each row of pixels)

  6. null vectors are highly oscillatory

  7. solve with minimum length

  8. note that GGT can deduced analytically and is Toeplitz might lead to a computational advantage

  9. Solution Possibilities • Use sparse matrix for G together with mest=G’*((G*G’)\d) (maybe damp a little, too) 2. Use analytic version of GGT together with mest=G’*(GGT\d) (maybe damp a little, too) 3. Use sparse matrix for G together with bicg() to solve GGTλ=d (maybe with a little damping, too) and then use mest=GTλ

  10. Solution Possibilities • Use sparse matrix for G together with mest=G’*((G*G’)\d) (maybe damp a little, too) 2. Use analytic version of GGT together with mest=G’*(GGT\d) (maybe damp a little, too) 3. Use sparse matrix for G together with bicg() to solve GGTλ=d (maybe with a little damping, too) and then use mest=GTλ we used the simplest, which worked fine

  11. image blurred due to camera motion • (100 point blur)

  12. (A) (B) (C) pixel number (D) (E) (F) pixel number pixel number pixel number pixel number

  13. (A) [G-g]728 row number (B) sidelobes R728 pixel number row number

  14. Part 2 • deconvolution filter

  15. Convolution • general relationship for • linear systems • with translational invariance

  16. Convolution • general relationship for • linear systems • with translational invariance model m(t) and data d(t) related by linear operator

  17. Convolution • general relationship for • linear systems • with translational invariance only relative time matters

  18. underlying principlelinear superposition

  19. If the input of a spike m(t)=δ(t) spike causes the output of d(t)=g(t) d(t)= g(t) time , t, after impulse 0 m(t)=δ(t) time , t, after impulse 0

  20. Then the general input m(t) spike of amplitude, m(t0) m(t) time, t t0 causes the general output d(t)=m(t)*g(t) m(t0)g(t-t0) d(t) time, t t0

  21. convolution d=m*g

  22. discrete convolution d=m*g standard matrix from d=Gm

  23. seismic reflection sounding

  24. want airgun pulse to be as spiky as possible p(t) = g(t) * r(t) pressure = airgun pulse * sea floor response so as to be able to detect pulses in sea floor response p(t) ≈ r(t)

  25. actual airgun pulse is ringy g(t) time, t

  26. so construct a deconvolutionfilterm(t)so that g(t) *m(t) = δ(t) and apply it to the data p(t) =g(t) * r(t) • p(t)*m(t) = g(t)*m(t)*r(t) = r(t)

  27. so construct a deconvolutionfilterm(t)so that g(t) *m(t) = δ(t) this is the equation we need to solve and apply it to the data p(t) =g(t) r(t) • p(t)*m(t) = g(t)*m(t)*r(t) = r(t)

  28. use discrete approximation of convolution g(t) *m(t) = δ(t) discrete approximation of delta function Gm = d m = ...

  29. solve with damped least squares mest = [GTG + ε2I]-1 GTd • with d = [1, 0, 0, ..., 0]T • (or something similar) • matrices GTG andGTdcan be calculated analytically

  30. approximately Toeplitz with elements

  31. approximately Toeplitz with elements autocorrelation of g

  32. cross-correlation of g and d

  33. Solution Possibilities • Use sparse matrix for G together with mest=(G’*G)\(G’*d) (maybe damping a little, too) 2. Use analytic versions of GTG and GTd together with mest=GTG\GTd (maybe damp a little, too) 3. Never form G, just work with its columns, g use bicg() to solve GTG m = GTd but use conv() to compute GT(Gv) 4. Same as 3 but add a priori information of smoothness

  34. Solution Possibilities • Use sparse matrix for G together with mest=(G’*G)\(G’*d) (maybe damping a little, too) 2. Use analytic versions of GTG and GTd together with mest=GTG\GTd (maybe damp a little, too) 3. Never form G, just work with its columns, g use bicg() to solve GTG m = GTd but use conv() to compute GT(Gv) 4. Same as 3 but add a priori information of smoothness we used this complicated but very fast method

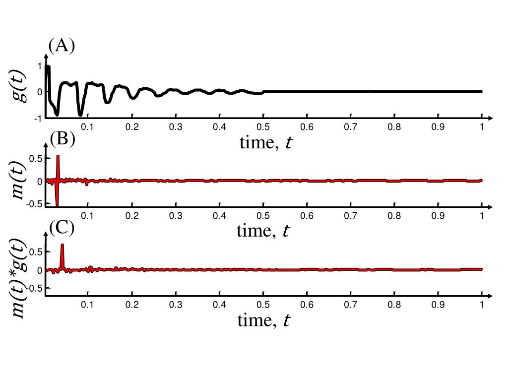
  35. (A) g(t) (B) time, t m(t) (C) time, t m(t)*g(t) time,t

  36. (A) Original d(t) (B) After deconvolution d(t)*m(t)

  37. Part 3 • minimization of cross-over errors

  38. true latitude longitude gravity anomaly, mgal estimated note streaks latitude longitude

  39. general idea data s is measured along tracks data along each track is off by an additive constant theory sjobs (track i) = sjtrue (track i) + m(track i) goal is to estimate the constants by minimizing the error at track intersections

  40. 5 cross-over points 6 7 8 4 3 2 1

  41. ith intersection has ascending track Aiand descending track Di sAiobs= sAitrue+ mAi sDiobs= sDitrue+ mDi subtract sAiobs-sDiobs= mAi- mDi has form d=Gm

  42. the matrix G is very sparse every row is all zeros, except for a single +1 and a single-1

  43. note that this problem has an inherent non-uniquenessm is determined only to an overall additive constantone possibility is to use damped least squares, to choose the smallest m(you can always add a constant later)

  44. the matrices GTG and GTd can be calculated semi-analytically

  45. recipestarting with zeroed GTG and GTd

  46. Solution Possibilities • Use sparse matrix for G together with damped least squares mest=(G’*G+e2*speye(M,M))\(G’*d) 2. Use analytic versions of GTG and GTd add damping directly to the diagonal of GTG then use mest=GTGpe2I\GTd 3. Use sparse matrix for G together with bicg() version of damped least squares 4. Methods 1 or 2, but use hard constraint instead of damping to implement Σi mi = 0

More Related