viola
Uploaded by
19 SLIDES
341 VIEWS
190LIKES

Three Dimensional SBM in MM5

DESCRIPTION

Three Dimensional SBM in MM5. Two Case Studies: Florida Simulation of Sea Breeze (7/27/91): Comparison with FTMS, TMIS California: Orographic Precipitation Event (7/12/2003) Contributors: Alexander Khain, Jimy Dudhia, Danny Rosenfeld, Axel Seifert, and Greg Thompson. Flow Chart.

1 / 19

Download Presentation

Three Dimensional SBM in MM5

An Image/Link below is provided (as is) to download presentation Download Policy: Content on the Website is provided to you AS IS for your information and personal use and may not be sold / licensed / shared on other websites without getting consent from its author. Content is provided to you AS IS for your information and personal use only. Download presentation by click this link. While downloading, if for some reason you are not able to download a presentation, the publisher may have deleted the file from their server. During download, if you can't get a presentation, the file might be deleted by the publisher.

E N D

Presentation Transcript


  1. Three Dimensional SBM in MM5 • Two Case Studies: • Florida Simulation of Sea Breeze (7/27/91): Comparison with FTMS, TMIS • California: Orographic Precipitation Event (7/12/2003) • Contributors: Alexander Khain, Jimy Dudhia, Danny Rosenfeld, Axel Seifert, and Greg Thompson

  2. Flow Chart • Detailed physical processes included in model • Model solves spectral (bin) microphysical equations • Thirty three bins • Smallest nucleated droplet is 2 microns/largest is 10 microns • 3 km grid resolution

  3. Obs: July 27, 1991 Figure 1 Figure1 Distance (km)

  4. Obs Figure 2 Distance (km)

  5. Figure 3

  6. Figure 4: From: # of observations within histogram ban width divided by total number of positive “returns.” Maritime Continental

  7. Figure 5

  8. Figure 6

  9. Figure 7 Maritime Continental Log Number

  10. Figure 8 Maritime Maritime Continental Continental

  11. Figure 9

  12. Figure 10

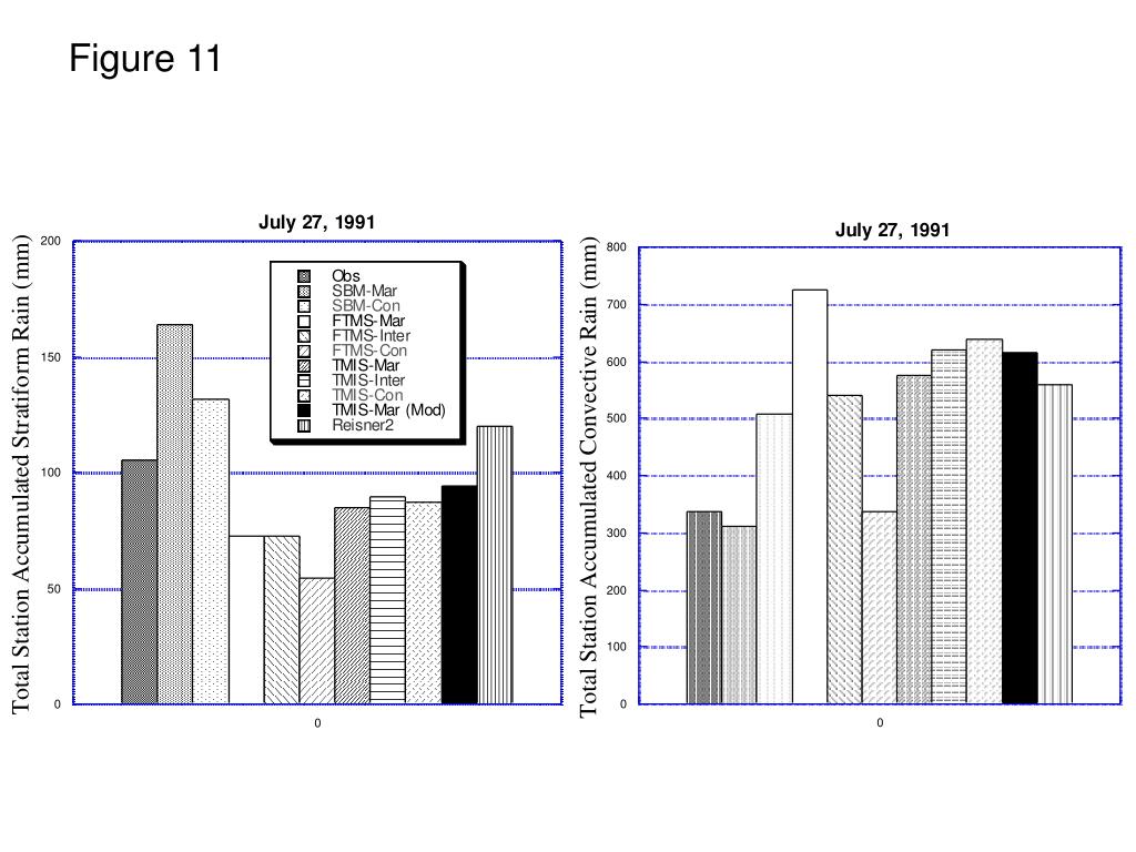
  13. Figure 11

  14. Figure 12 FTMS Mar. TMIS Mar. FTMS Inter. TMIS-Inter. FTMS Cont. TMIS-Con.

  15. Figure 13 FTMS Mar. TMIS Mar. TMIS Inter. FTMS Inter. FTMS Con. TMIS Con.

  16. Figure 14

  17. Figure 15 FTMS Mar. FTMS Inter

  18. Figure 16 Reisner2 Reisner2

  19. Summary: Part 1: • SBM is able to reproduce general characteristics of precipitation and storm structure, displaying sensitivity to initial aerosol concentrations • Bulk models able to reproduce some of the microphysical characteristics, including the TMIS sensitivity of precipitation to aerosol concentration.

More Related
SlideServe
Audio
Live Player
Audio Wave
Play slide audio to activate visualizer