1 / 16

Understanding Information Theory: Uncertainty, Entropy, and Linguistic Analysis

This article explores key concepts in information theory, including the functions of uncertainty and entropy. We discuss how uncertainty quantities, represented as H, follow specific logarithmic functions, including the implications of probabilities on uncertainty. The study further highlights the correlation between linguistic patterns and entropy, revealing that English has the lowest entropy among major languages. Additionally, we examine the application of statistical methods in literary analysis, providing insights into how information theory shapes our understanding of communication and knowledge.

vangie
Download Presentation

Understanding Information Theory: Uncertainty, Entropy, and Linguistic Analysis

An Image/Link below is provided (as is) to download presentation Download Policy: Content on the Website is provided to you AS IS for your information and personal use and may not be sold / licensed / shared on other websites without getting consent from its author. Content is provided to you AS IS for your information and personal use only. Download presentation by click this link. While downloading, if for some reason you are not able to download a presentation, the publisher may have deleted the file from their server. During download, if you can't get a presentation, the file might be deleted by the publisher.

E N D

Presentation Transcript


  1. Information theory (part II) • From the form g(R) + g(S) = g(RS) one can expect that the function g( ) shall be a logarithm function. • In a general format, the function can be written as g(x) = A ln(x) + C, where A and C are constants. • From the earlier transformation g(x) = x f(1/x), one gets that the uncertainty quantity, H, shall be (1/p)f(p) = A ln(p) + C, where p = 1/n (n is the total number of event). • Therefore, f(p) = A*p*ln(p) + C • Given that if the probability is 1, the uncertainty H must be zero, the constant C should be equal to ZERO. • Thus, f(p) = A*p*ln(p). • Since p is smaller than 1, ln(p) shall be minus and thus the constant A is inherently negative

  2. Following conventional notion, we write f(p) = -K*p*ln(p), where K is a positive coefficient. • The uncertainty quantity H(p1, p2, …pn) = Σ f(pi) • Thus, H(p1, p2, …pn) = Σ –K*pi*ln(pi) = -K Σpi*ln(pi) • Example: H(1/2, 1/3, 1/6) = -K*[1/2ln(1/2) + 1/3*ln(1/3) + 1/6*ln(1/6)] = -K*(-0.346 – 0.377 – 0.299) = 1.01K from the decomposed procedure, H(1/2,1/2) + 1/2H(2/3, 1/3) = -K*[1/2ln(1/2) + 1/2ln(1/2)] -1/2*K*[2/3*ln(2/3) + 1/3ln(1/3)] = -K(-0.346-0.346) – K/2*(-0.27 – 0.366) = 1.01K • For equal probable events, pi = 1/n, H = K*ln(n)

  3. In a binary case, where two possible outcomes of an experiment with probabilities, p1 and p2 with p1 + p2 = 1 H = - K*[p1ln(p1) + p2ln(p2)] • To determine H value when p1 is 0 or 1, one need L’Hopital’s rule lim[u(x)/v(x)] as x approaches 0 equals lim[u’(x)/v’(x)] • Therefore, as p1 approaches 0, lim[p1ln(p1)] = lim[(1/x)/(-1/x2)] = 0 • The uncertainty is therefore 0 when either p1 or p2 is zero! • Under what value of p1 while H reaches the maximum? differentiate eq - K*[p1ln(p1) + p2ln(p2)] against p1 and set the derivative equal 0 dH/dp1 = -K*[ln(p1) + p1/(p1) - ln(1- p1) – (1- p1)/ (1- p1)] = 0 which leads to p1 = 1/2

  4. Unit of Information • Choosing 2 as the basisof the logarithm and take K = 1, one gets H = 1 • We call the unit of information a bit for binary event. • Decimal digit, H = log2(10) = 3.32, thus a decimal digit contains about 3 and 1/3 bits of information.

  5. Linguistics • A more refined analysis works in terms of component syllables. One can test what is significant in a syllable in speech by swapping syllables and seeing if meaning or tense is changed or lost. The table gives some examples of the application of this statistical approach to some works of literature.

  6. Linguistics • The type of interesting results that arise from such studies include: (a) English has the lowest entropy of any major language, and (b) Shake speare’s work has the lowest entropy of any author studied. • These ideas are now progressing beyond the .scientific level and are impinging on new ideas of criticism. Here as in biology, the thermodynamic notions can be helpful though they must be applied with caution because concepts such as ‘quality’ cannot be measured as they are purely subjective

  7. Maximum entropy • The amount of uncertainty: • Examples on the connection between entropy and uncertainty (gases in a partitioned container) • The determination of the probability that has maximum entropy.

  8. Suppose one knows the mean value of some particular variable x, • Where the unknown probabilities satisfy the condition: • In general there will be a large number of probability distributions consistent with the above information. • We will determine the one distribution which yields the largest uncertainty (i.e. information). • We need Lagrange multiplier to carry out the analysis

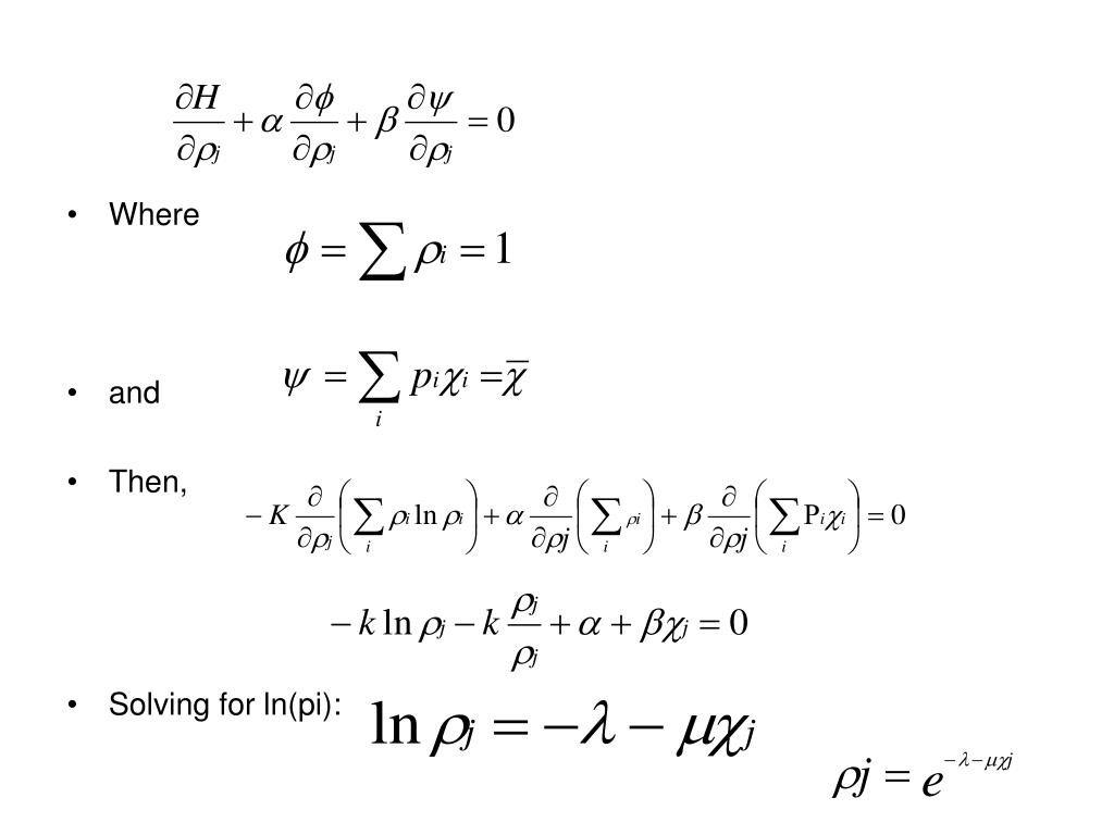
  9. Where • and • Then, • Solving for ln(pi):

  10. Determine the new Lagrange multipliers λ and u • So that • We define the partition function • Then

  11. Determine multiplier u • We have • Therefore,

  12. The connection to statistical thermodynamics • The entropy is define as • Then

  13. A disordered system is likely to be in any number of different quantum states. If Nj = 1 for N different states and Nj= 0 for all other available states, • The above function is positive and increases with increasing N. • Associating Nj/N with the probability pj • The expected amount of information we would gain is a measure of our lack of knowledge of the state of the system. • Negative entropy (negentropy)

  14. The boltzmann distribution for non-degenerate energy state • Where

  15. Summary • Information theory is an extension of thermodynamics and probability theory. Much of the subject is associated with the names of Brillouin and Shannon. It was originally concerned with passing messages on telecom munication systems and with assessing the efficiency of codes. Today it is applied to a wide range of problems, ranging from the analysis of language to the design of computers. • In this theory the word ‘information’ is used in a special sense. Sup pose that we are initially faced with a problem about which we have no ‘information’ and that there are P possible answers. When we are given some ‘information’ this has the effect of reducing the number of possible answers and if we are given enough ‘information’ we may get to a unique answer. The effect of increased information is thus to reduce the uncer tainty about a situation. In a sense, therefore, informatiouis the antithesis of entropy since entropy is a measure of the randomness or disorder of a system. This contrast led to the coining of the word rtegentropy to describe information. • The basic unit of information theory is the bit—a shortened form of ‘binary digit’.

  16. For example, if one is given a playing card face down without any information, it could be any one of 52; if one is then told that it is an ace, it could be any one of 4; if told that it is also a spade, one knows for certain which card one has. As we are given more information, The situation becomes more certain. In general, to determine which of the P possible outcomes is realized, the required information I is defined as • H = K ln P

More Related