thyra
Uploaded by
26 SLIDES
1075 VIEWS
390LIKES

2.8 Implicit Differentiation

DESCRIPTION

2.8 Implicit Differentiation. Definition. We will say that a given equation in x and y defines the function f implicitly if the graph of y = f(x) coincides with a portion of the graph of the equation. Example: The equation implicitly defines functions.

1 / 26

Download Presentation

2.8 Implicit Differentiation

An Image/Link below is provided (as is) to download presentation Download Policy: Content on the Website is provided to you AS IS for your information and personal use and may not be sold / licensed / shared on other websites without getting consent from its author. Content is provided to you AS IS for your information and personal use only. Download presentation by click this link. While downloading, if for some reason you are not able to download a presentation, the publisher may have deleted the file from their server. During download, if you can't get a presentation, the file might be deleted by the publisher.

E N D

Presentation Transcript


  1. 2.8 Implicit Differentiation Definition. We will say that a given equation in x and y defines the function f implicitly if the graph of y = f(x) coincides with a portion of the graph of the equation. • Example: • The equation implicitly defines functions • The equation implicitly defines the functions

  2. Two differentiable methods There are two methods to differentiate the functions defined implicitly by the equation. For example: One way is to rewrite this equation as , from which it follows that

  3. Two differentiable methods The other method is to differentiate both sides of the equation before solving for y in terms of x, treating y as a differentiable function of x. The method is called implicit differentiation. With this approach we obtain Since ,

  4. Implicit Differentiation

  5. Example Example: Use implicit differentiation to find dy / dx if Solution:

  6. Example Example: Find dy / dx if Solution:

  7. 2.10 Logarithmic Functions

  8. Logarithm Function with Base a

  9. Natural Logarithm Function Logarithms with base e and base 10 are so important in applications that Calculators have special keys for them. logex is written as lnx log10x is written as logx The function y=lnx is called the natural logarithm function, and y=logx is Often called the common logarithm function.

  10. Properties of Logarithms

  11. Properties of ax and logax

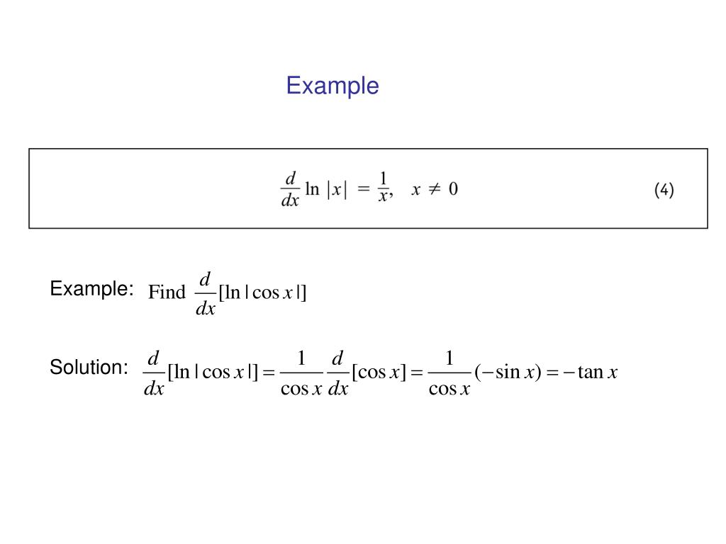
  12. Derivative of the Natural Logarithm Function Note: Example: Solution:

  13. Example Example: Solution:

  14. Derivatives of au Note that Example:

  15. Derivatives of logau Note that Example:

  16. The Number e as a Limit

  17. 2.11 Inverse Trigonometric Functions The six basic trigonometric functions are not one-to-one (their values Repeat periodically). However, we can restrict their domains to intervals on which they are one-to-one.

  18. Six Inverse Trigonometric Functions Since the restricted functions are now one-to-one, they have inverse, which we denoted by These equations are read “y equals the arcsine of x” or y equals arcsin x” and so on. Caution: The -1 in the expressions for the inverse means “inverse.” It does Not mean reciprocal. The reciprocal of sinx is (sinx)-1=1/sinx=cscx.

  19. Derivative of y = sin-1x Example: Find dy/dx if Solution:

  20. Derivative of y = tan-1x Example: Find dy/dx if Solution:

  21. Derivative of y = sec-1x Example: Find dy/dx if Solution:

  22. Derivative of the other Three There is a much easier way to find the other three inverse trigonometric Functions-arccosine, arccotantent, and arccosecant, due to the following Identities: It follows easily that the derivatives of the inverse cofunctions are the negatives of the derivatives of the corresponding inverse functions.

More Related