sonja
Uploaded by
30 SLIDES
529 VIEWS
300LIKES

6.3.2 关于解某些特殊方程组迭代法的收敛性

DESCRIPTION

设. (1) 如果 的元素满足. 称 为 严格对角占优阵. (2) 如果 的元素满足. 称 为 弱对角占优阵. 6.3.2 关于解某些特殊方程组迭代法的收敛性. 定义 3. ( 对角占优阵 ). 且上式至少有一个不等式严格成立,. 设 ,. 如果存在置换阵 使. ( 3.6 ). 其中 为 阶方阵, 为 阶方阵 ,. 为 可约矩阵. 否则,如果不存在这样置换阵 使 (3.6) 式成立,则. 称 为 不可约矩阵.

1 / 30

Download Presentation

6.3.2 关于解某些特殊方程组迭代法的收敛性

An Image/Link below is provided (as is) to download presentation Download Policy: Content on the Website is provided to you AS IS for your information and personal use and may not be sold / licensed / shared on other websites without getting consent from its author. Content is provided to you AS IS for your information and personal use only. Download presentation by click this link. While downloading, if for some reason you are not able to download a presentation, the publisher may have deleted the file from their server. During download, if you can't get a presentation, the file might be deleted by the publisher.

E N D

Presentation Transcript


  1. (1) 如果 的元素满足 称 为严格对角占优阵. (2) 如果 的元素满足 称 为弱对角占优阵. 6.3.2关于解某些特殊方程组迭代法的收敛性 定义3 (对角占优阵) 且上式至少有一个不等式严格成立,

  2. 设 , 如果存在置换阵 使 (3.6) 其中 为 阶方阵, 为 阶方阵 , 为可约矩阵. 否则,如果不存在这样置换阵 使(3.6)式成立,则 称 为不可约矩阵. 为可约矩阵意即 可经过若干行列重排化为(3.6)或 定义4 (可约与不可约矩阵) 则称

  3. 可化为两个低阶方程组求解. 如果 经过两行交换的同时进行相应两列的交换, 称对 进行一次行列重排. 于是,求解 化为求解 其中 为 维向量. 事实上,由 可化为 且记

  4. 由上式第2个方程组求出 , 再代入第1个方程组求出 显然,如果 所有元素都非零,则 为不可约阵.

  5. 则 都是不可约矩阵. 例7 设有矩阵

  6. 如果  为严格对角 则 为非奇异矩阵. 占优矩阵或 为不可约弱对角占优矩阵, 只就 为严格对角占优阵证明此定理. 如果 , 则 有非零解, 记为  , 由齐次方程组第 个方程 定理6 (对角占优定理) 证明 采用反证法, 则 则有

  7. 与假设矛盾,故

  8. 设 , (1) 为严格对角占优阵,则解 的雅可比迭 代法,高斯-塞德尔迭代法均收敛. (2) 为弱对角占优阵,且 为不可约矩阵,则解 雅可比迭代法,高斯-塞德尔迭代法均收敛. 由设可知, ,解 的高斯-塞 德尔迭代法的迭代矩阵为 定理7 如果: 证明 只证(1)中高斯-塞德尔迭代法收敛,其他同理.

  9. 下面考查 的特征值情况. 于是 特征值即为 由于 , 之根. 记

  10. 下面证明,当 时, ,即 的特征值 均满足 , 事实上,当 时, 由 为严格对角占优阵, 这说明,当 时,矩阵 为严格对角占优阵, 再由对角占优定理有 由基本定理,则有高斯-塞德尔迭代法收敛.  有

  11. 设解方程组 则 设 的特征值为 , 有 , 定理8 (SOR方法收敛的必要条件) 的SOR迭代法收敛, 证明 由SOR迭代法收敛,则由定理4的推论中的(3) 则 或 另一方面

  12. 定理8说明解 的SOR迭代法,只有在 范围 内取松弛因子 ,才可能收敛. 设 , 则解 的SOR迭代法收敛. (1) 为对称正定矩阵, 从而 定理9 如果:

  13. 在上述假定下,只需证明 , 其中 为 事实上,设 为对应 的 的特征向量, 为了找出 的表达式,考虑数量积 证明 的任一特征值. 即 亦即

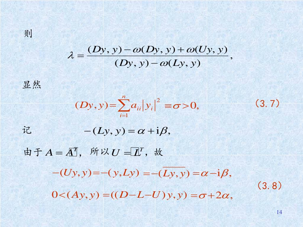
  14. (3.7) 所以  , 由于 , (3.8) 则 显然 记 故

  15. 当 时,利用(3.7),(3.8),有 即 的任一特征值满足 , 当 时, 所以 从而 故SOR方法收敛 可以证明

  16. 设 , 则解 的SOR迭代法收敛. (1) 为严格对角占优矩阵(或 为弱对角占优不可约 矩阵); 由定理3证明中可知,如果 且 越小时, 定理10 如果: 下面讨论迭代法的收敛速度. 迭代法收敛越快.

  17. (3.9) 记 , 则 且误差向量 由基本定理有 , 现设有方程组 及一阶定常迭代法 且设迭代法收敛, 满足

  18. 设 为对称矩阵,则有 (3.10) 这说明,所需迭代次数与 成反比. 越小, 越大,由(3.10)式所需迭代次数越少,即迭代法收敛越快. 欲使 取对数,得到所需最少迭代次数为

  19. 称 为迭代法(3.9)的渐近收敛 对于SOR迭代法希望选择松弛因子 使迭代过程(2.10) 收敛较快, 在理论上即确定 使 例如,对所谓具有“性质 ” 等条件的线性方程组建立了最佳松弛因子公式 定义5 速度,简称迭代法收敛速度.  对某些特殊类型的矩阵,已建立了SOR方法最佳松弛因子理论.

  20. 其中 为解 的雅可比迭代法的迭代矩阵的谱半径. 可以给出 的计算方法, 但一般来说,计算 是有困难的,可用试算的办法来确定一个适当的 . 其中 为对称正定 设 , 在实际应用中,对于某些椭圆型微分方程(模型问题), 算法2 (SOR迭代法) 矩阵或为严格对角占优阵或为弱对角占优不可约矩阵等,

  21. 数组 存放 本算法用SOR迭代法求解 , 用 控制迭代终止, 用 表示最大 及 , 迭代次数.

  22. 也可用 来控制迭代终止,其中

  23. 6.4分块迭代法

  24. 上述迭代法,从  计算时,是逐个计算 的分量 ,这种迭代法又称为点迭代 法.  设 ,其中 为大型稀疏矩阵且将 分 块为三部分 , 分块迭代法,就是一块或一组未知数同时被改进. 其中

  25. 其中, 且 为 非奇异矩阵, 对 及 同样分块

  26. 选取分裂阵 为 的对角块部分,即选 (4.1) (1) 块雅可比迭代法(BJ) 于是,得到块雅可比迭代法 其中迭代矩阵 或

  27. (4.1) 从  , 需要求解 个低阶方程组 由分块矩阵乘法,得到块雅可比迭代法的具体形式 其中 这说明,块雅可比迭代法每迭代一步,

  28. 选取分裂矩阵 为带松弛因子的 块下三角部分, (4.3) (2) 块SOR迭代法(BSOR) 即 得到块SOR迭代法

  29. (4.4) 其中迭代矩阵 由分块矩阵乘法得到块SOR迭代法的具体形式

  30. 于是,当 及 已计算时,解 低阶方程组(3.14)可计算小块 从 共需要解 个低阶方程组,当 为三 对角阵或带状矩阵时,可用直接法求解. 设 ,其中 (分块形式). (1) 如果 为对称正定矩阵, (2) 则解 的BSOR迭代法收敛. 定理11

More Related