saniya
Uploaded by
126 SLIDES
1523 VIEWS
1260LIKES

第 6 章 解线性方程组的迭代法

DESCRIPTION

6.1 迭代法的基本概念 6.2 雅可比迭代法与高斯 - 塞德尔迭代法 6.3 超松弛迭代法 6.4 共轭梯度法. 第 6 章 解线性方程组的迭代法. ( 1.1 ). 其中 为非奇异矩阵,当 为低阶稠密矩阵时,第 5 章所讨 论的选主元消去法是有效方法. 但对于 的阶数 很大,零元素较多的大型稀疏矩阵 方程组,例如求某些偏微分方程数值解所产生的线性方程 组来说,利用迭代法求解则更为合适. 迭代法通常都可利用 中有大量零元素的特点. 6.1 迭代法的基本概念. 6.1.1 引言. 考虑线性方程组. ( 1.2 ).

1 / 126

Download Presentation

第 6 章 解线性方程组的迭代法

An Image/Link below is provided (as is) to download presentation Download Policy: Content on the Website is provided to you AS IS for your information and personal use and may not be sold / licensed / shared on other websites without getting consent from its author. Content is provided to you AS IS for your information and personal use only. Download presentation by click this link. While downloading, if for some reason you are not able to download a presentation, the publisher may have deleted the file from their server. During download, if you can't get a presentation, the file might be deleted by the publisher.

E N D

Presentation Transcript


  1. 6.1 迭代法的基本概念 6.2 雅可比迭代法与高斯-塞德尔迭代法 6.3 超松弛迭代法 6.4 共轭梯度法 第6章 解线性方程组的迭代法

  2. (1.1) 其中 为非奇异矩阵,当 为低阶稠密矩阵时,第5章所讨 论的选主元消去法是有效方法. 但对于 的阶数 很大,零元素较多的大型稀疏矩阵 方程组,例如求某些偏微分方程数值解所产生的线性方程 组来说,利用迭代法求解则更为合适. 迭代法通常都可利用 中有大量零元素的特点. 6.1迭代法的基本概念 6.1.1引言 考虑线性方程组

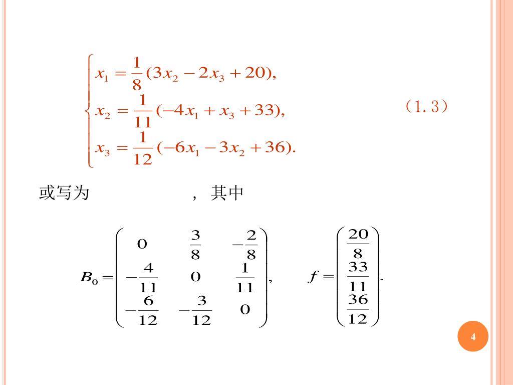
  3. (1.2) 记为 , 方程组的精确解是 . 例1 求解方程组 其中 现将(1.2)改写为

  4. (1.3) 或写为 , 其中

  5. 任取初始值,例如取 . 再将 分量代入(1.3)式右边得到 ,反复利用这个计 算程序,得到一向量序列和一般的计算公式(迭代公式) (1.3) 将这些值代入(1.3) 式右边 (若(1.3)式为等式即求得方程组的解,但一般不满足). 得到新的值

  6. (1.4) 其中 表示迭代次数 简写为 迭代到第10次有

  7. 从此例看出,由迭代法产生的向量序列 逐步逼近 方程组的精确解 . 对于任何由 变形得到的等价方程组 , 迭代法产生的向量序列 不一定都能逐步逼近方程组 的解 . 如对方程组

  8. 又设 为任取的初始向量, 设有唯一解 , 其中 表迭代次数. 对于给定方程组 , (1.5) 构造迭代法 则对任何的初始向量,得到的序列都不收敛. 则 按下述公式构造向量序列 (1.6)

  9. 研究 的收敛性. (1.5) (1.6) 得 , 定义1 (1) 对于给定的方程组 ,用公式(1.6)逐步代入求近似解的方法称为迭代法(或称为一阶定常迭代法,这里 与 无关). (2) 如果 存在(记为 ),称此迭代法收敛, 显然 就是方程组的解,否则称此迭代法发散. 引进误差向量 由(1.6)减去(1.5)式,

  10. 要考察 的收敛性, 就要研究 在什么条件下有 亦即要研究 满足什么条件时有 递推得

  11. 6.1.2向量序列与矩阵序列的极限 定义2 设有向量序列 如果存在 ,使 则称向量序列 收敛于 ,记为 显然 其中 为任一种向量范数.

  12. 记为 则称 收敛于 , 定义3 设有矩阵序列 及 , 如果 个数列极限存在且有

  13. 由于,当 时,有 且设 ,考查其极限. 例2 设有矩阵序列 解 所以

  14. 矩阵序列极限概念可以用矩阵算子范数来描述. 定理1 其中‖·‖为矩阵的任意一种算子范数. 显然有 证明 再利用矩阵范数的等价性,可证定理对其他算子范数亦对.

  15. 定理2 的充分必要条件是 (1.7) 其中两个极限右端分别指零矩阵与零向量. 证明 对任一种矩阵的从属范数有 若 ,则 ,故对一切 ,有 . 所以(1.7)成立. 反之,若(1.7)成立,取 为第 个坐标向量 ,则 表示 的第 列元素极限均为零,当 时就证明了

  16. 证明 用反证法,假定 有一个特征值 , 满足 ,则存在 ,使 ,由此可得 当 时 不收敛于零向量. 由定理2知(1)不成立,从而知 ,即(2)成立. 下面讨论一种与迭代法(1.6)有关的矩阵序列的收敛性, 这种序列由矩阵的幂构成,即 ,其中 定理3 设 ,则下面3个命题等价: (1) ;(2) ;(3)至少存在 一种从属的矩阵范数 ,使

  17. 根据第5章定理18,对任意 ,存在一 种从属范数 ,使 ,由(2)有 , 适当选择 ,可使 ,即(3)成立. 由(3)给出的矩阵范数 ,由于 可得 ,从而有

  18. 定理4 设 为任一种矩阵范数,则 (1.8) 证明 由第5章定理18,对一切 有 另一方面对任意 ,记 显然有 .由定理3有 ,所以存在正整数 ,使当 时,

  19. 即当 时有 由 任意性即得定理结论.

  20. 其中, 为非奇异矩阵. 将 分裂为 (1.9) 其中, 为可选择的非奇异矩阵,且使 容易求解, 一般选择为 的某种近似,称 为分裂矩阵. 6.1.3迭代法及其收敛性 设有线性方程组

  21. 选取 阵,就得到解 的各种迭代法. 于是,求解 转化为求解 , 称 为迭代法的迭代矩阵. 即求解 也就是求解线性方程组 (1.10) 从而可构造一阶定常迭代法 (1.11) 其中

  22. 定理5 给定线性方程组 及一阶定常迭代法 对任意选取初始向量 ,迭代法收敛的充要条件是矩阵 的谱半径 证明 充分性.设 ,易知 (其中 )有唯一解,记为 ,则 误差向量

  23. 由设 , 其中 有 , 即 于是对任意 , 设对任意  有 (1.10) 应用定理3,有 必要性. 显然,极限 是方程组(1.10)的解,且对任意 有 由定理2知 再由定理3,即得

  24. (1.4) (1.2) 例3 考察线性方程组(1.2) 给出的迭代法(1.4)的收敛性

  25. 解 先求迭代矩阵 的特征值. 由特征方程 可得 解得 即 .所以用迭代法(1.4)解线性方程组(1.2)是收敛的.

  26. 其中 特征方程为 即 . 例4 考察用迭代法解方程组 的收敛性, 特征根 解 这说明用迭代法解此方程组不收敛.

  27. 如果有 的某种算子范数 ,则 定理5 (迭代法收敛的充分条件) 设有方程组 及一阶定常迭代法 (1) 迭代法收敛,即对任取 有

  28.  (2) 由关系式 及 证明 (1) 由基本定理知,结论(1)是显然的. 有 反复利用(b)即得(2).

  29. (3) 考查 即 (4) 反复利用(a), 则得到(4).

  30. 定理6只给出迭代法(1.11)收敛的充分条件,即使条定理6只给出迭代法(1.11)收敛的充分条件,即使条 件 对任何常用范数均不成立,迭代序列仍可能收敛. 例5 迭代法 ,其中 显然 表明 的各种范数均大于1,但由于 ,故由此迭代法产生的迭代序列 是收敛的.

  31. 下面考察迭代法(1.11)的收敛速度. 假定迭代法(1.11)是收敛的,即 ,由 ,得 于是 根据从属范数定义,有

  32. 所以 是迭代 次后误差向量 的范数与初始误差向量 的范数之比的最大值. 这样迭代 次后,平均每次迭代误差向量范数的压缩率 可看成是 ,若要求迭代 次后有 其中 ,可取 . 因为 ,故 ,由 两边取对数 得

  33. (1.12) 它表明迭代次数 与 成反比. 定义4 迭代法(1.11)的平均收敛速度定义为 (1.13) 平均收敛速度 依赖于迭代次数及所取范数,计 算分析并不方便.

  34. 由定理4可知 ,所以 定义5 迭代法(1.11)的渐近收敛速度定义为 (1.14) 与迭代次数及 取何种范数无关,它反映了迭代次数趋 于无穷时迭代法的渐近性质,当 越小时 越大, 迭代法收敛越快,可用 (1.15) 作为迭代法(1.11)所需的迭代次数的估计.

  35. 例1中迭代法(1.4)的迭代矩阵 的谱半径 若要求 ,则由(1.13)知 于是有 即取 即可达到要求.

  36. 6.2雅可比迭代法与高斯-塞尔迭代法

  37. (2.1) 6.2.1雅可比迭代法 将线性方程组(1.1)中的系数矩阵 分成三部分

  38. (2.2) 称 为解 的雅可比迭代法的迭代阵. 设 ,选取 为 的对角元素部分,即选取 (对角阵), ,由(1.11)式得到解 的雅可比(Jacobi)迭代法 其中

  39. 于是,解 的雅可比迭代法的分量计算公式为 (2.2) 研究雅可比迭代法(2.2)的分量计算公式. 记 由雅可比迭代公式(2.2), 有 或

  40. (2.3) 由(2.3)式可知,雅可比迭代法计算公式简单,每迭代 一次只需计算一次矩阵和向量的乘法且计算过程中原始矩 阵 始终不变.

  41. (2.4) 称 为解 的高斯-塞德尔迭代法的迭 代阵. 6.2.2高斯-塞德尔迭代法 选取分裂矩阵 为 的下三角部分,即选取 (下三角阵), 于是由(1.11)式得到解 的高斯-塞德尔(Gauss-Seidel)迭代法 其中

  42. (2.4) 研究高斯-塞德尔迭代法的分量计算公式. 记 由(2.4)式有 或 即

  43. (2.5) 于是解 的高斯-塞德尔迭代法计算公式为 (2.6) 或

  44. 雅可比迭代法不使用变量的最新信息计算 ,而 由高斯-塞德尔迭代公式(2.6)可知,计算 的第 个分 量 时,利用了已经计算出的最新分量 高斯-塞德尔迭代法可看作雅可比迭代法的一种改进. 由(2.6)可知,高斯-塞德尔迭代法每迭代一次只需计算 一次矩阵与向量的乘法.

  45. 迭代一次,这个算法需要的运算次数至多与矩阵 的 非零元素的个数一样多. 算法1 (高斯-塞德尔迭代法) 设 ,其中 为非奇异矩阵且 本算法用高斯-塞德尔迭代法解 , 数组 开始存放 ,后存放 为最大迭代次数.

  46. (1.2) 取 , 迭代7次,得 , 例6 用高斯-塞德尔迭代法解线性方程组(1.2). 按高斯-塞德尔迭代公式

  47. 由此例可知,用高斯-塞德尔迭代法,雅可比迭代法解由此例可知,用高斯-塞德尔迭代法,雅可比迭代法解 线性方程组(1.2)(且取 )均收敛. 而高斯-塞德尔迭代法比雅可比迭代法收敛较快(即取  相同,达到同样精度所需迭代次数较少). (1.2) 但这结论只当 满足一定条件时才是对的. 且

  48. 其中 其中 6.2.3雅可比迭代与高斯-塞德尔迭代收敛性 定理7 设 ,其中 为非奇异矩 阵且 非奇异,则 (1) 解方程组的雅可比迭代法收敛的充要条件是 , (2) 解方程组的高斯-塞德尔迭代法收敛的充要条件是 由定理6还可得到雅可比迭代法收敛的充要条件是 高斯-赛德尔迭代法收敛的充要条件是

  49. (1) 如果 的元素满足 称 为严格对角占优阵. (2) 如果 的元素满足 称 为弱对角占优阵. 定义6 (对角占优阵)设 且上式至少有一个不等式严格成立,

  50. (2.7) 其中 为 阶方阵, 为 阶方阵 , 则称 为可约矩阵. 否则,如果不存在这样置换阵 使(2.7)式成立,则 称 为不可约矩阵. 定义7(可约与不可约矩阵) 设 , 如果存在置换阵 使

More Related