qamra
Uploaded by
13 SLIDES
303 VIEWS
130LIKES

78 0

DESCRIPTION

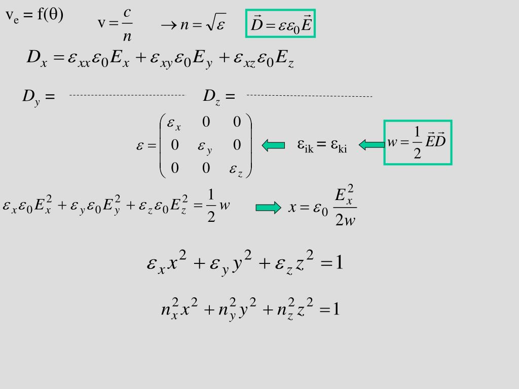
Kaksikmurdumine. e. o. O. a = 0. a = 0. o:. O’. 78 0. e:. 102 0. Ca C O 3. - kaltsiit (islandi pagu). Ó. w 02. w 01. z. y. O’. v = v o. v e > v o. O. O. q. w 02. O’. O’. w 01. v o = const. v e = f( q). v e = f( q). D z =. D y =. e ik = e ki. ja. x.

1 / 13

Download Presentation

78 0

An Image/Link below is provided (as is) to download presentation Download Policy: Content on the Website is provided to you AS IS for your information and personal use and may not be sold / licensed / shared on other websites without getting consent from its author. Content is provided to you AS IS for your information and personal use only. Download presentation by click this link. While downloading, if for some reason you are not able to download a presentation, the publisher may have deleted the file from their server. During download, if you can't get a presentation, the file might be deleted by the publisher.

E N D

Presentation Transcript

Playing audio...

  1. Kaksikmurdumine e o O a = 0 a = 0 o: O’ 780 e: 1020

  2. Ca C O3 - kaltsiit (islandi pagu) Ó w02 w01 z y O’ v = vo ve > vo

  3. O O q w02 O’ O’ w01 vo = const ve = f(q)

  4. ve = f(q) Dz = Dy = eik = eki

  5. ja x e e E x 0 x r D E x r E e e E z E E z z 0 z y e e E y 0 y y üheteljeline kaheteljeline

  6. Huygensi konstruktsioon õhk Isotroopne keskkond Lainefront on risti valguskiirega ehk kS

  7. õhk anisotroopne keskkond ebatavaline kiir 1. Lainefront ja kiir ei ole risti ehk lainevektor ja Poyntingi vektor ei ole paralleelsed 2. Murduv kiir on langemistasandis vaid juhul, kui optiline telg on langemistasandis

  8. O’ O Anisotroopses keskkonnas levib üldjuhul kaks kiirt eri suundades ja nad on lineaarselt polariseeritud risttasandites. Murduv kiir jääb langemistasandisse vaid juhul, kui optiline telg on ka langemistasandis.

  9. Lained levivad samas suunas, kuid erineva kiirusega; tekib faasinihe

  10. Polariseeritud valguse interferents d1 P1 x O’ x Eo Ee e o O d2 z y P2 P1 y z Interferents P2 = 450 Eo = Ee Eo = Ee = E/2 (E)2 = (Ee + Eo )2 = Koherentsed lained, kuid = (Ee)2 + (Eo)2 +2 Ee Eo cosd d = kD = kd(ne -no)

  11. O’ Eo = Ee = E/2 Eo I =I0cos2(d/2) Ee O I = I0 &I = 0 I = I0 &I = 0 Eo Ee P2 P1 P2  P1 O d = kD = (2p/l0)d(ne -no) Valge valgus dl1 =2kp Il1 = max Il2 = max d = const dl2 =(2k +1)p (E)2 = 1/2(1+cosd)E2 d = 2kp d = (2k +1)p I = I0cos2((d+p)/2) = I0sin2(d/2) l1, l2 - täiendvärvid

More Related