1 / 55

ÖNGÖRÜMLEME (Forecasting)

ÖNGÖRÜMLEME (Forecasting). ÖNGÖRÜMLEME. Tek denklemli regresyon modeli ile öngörümleme Öngörümleme nedir? Öngörümleme tarihi gelişimi Öngörümleme biçimleri nelerdir? Koşulsuz Öngörümleme Sıra korelasyonlu hatalarla öngörümleme Koşullu öngörümleme Öngörümleme yöntemine bağlı hatalar

phyre
Download Presentation

ÖNGÖRÜMLEME (Forecasting)

An Image/Link below is provided (as is) to download presentation Download Policy: Content on the Website is provided to you AS IS for your information and personal use and may not be sold / licensed / shared on other websites without getting consent from its author. Content is provided to you AS IS for your information and personal use only. Download presentation by click this link. While downloading, if for some reason you are not able to download a presentation, the publisher may have deleted the file from their server. During download, if you can't get a presentation, the file might be deleted by the publisher.

E N D

Presentation Transcript


  1. ÖNGÖRÜMLEME(Forecasting)

  2. ÖNGÖRÜMLEME • Tek denklemli regresyon modeli ile öngörümleme • Öngörümleme nedir? • Öngörümleme tarihi gelişimi • Öngörümleme biçimleri nelerdir? • Koşulsuz Öngörümleme • Sıra korelasyonlu hatalarla öngörümleme • Koşullu öngörümleme • Öngörümleme yöntemine bağlı hatalar • Modelin değerlendirilmesi • Yapılan öngörünün anlamlılık testi • Çok değişkenli model ile öngörümleme • Uygulama

  3. Öngörümleme nedir…? • Öngörümleme; geleceğe ait olayların (veya faaliyetlerin) olasılıkları hakkında geçmiş ve cari bilgiye dayanan bir nicel (kantitatif) tahmin setidir. • Bir tahmin; şu andaki ve geçmişteki bilgilere dayanarak gelecekteki olayların olma olasılığı hakkında yapılan nicel bir değerlendirmedir.

  4. …Öngörümleme nedir…? • İstatistikte “tahmin”, “kestirim” ve “öngörü” kavramları birbirlerine yakın anlamlar içermesine rağmen bu üç terim birbirlerinden tamamen farklı anlamlar ifade etmektedir. • Tahminbir kitlenin parametresi hakkında elde edilen istatistiğin aldığı değerdir. • Kestirim bir rasgele değişkenin seçtiğimiz modele göre parametrelerinin yerine konulması ile elde edilen (rasgele değişkenin almasını beklediğimiz) değerdir.

  5. …Öngörümleme nedir…? • Öngörü, rasgele bir değişkenin gelecekteki değerlerinin kestirilmesidir. • Geleceğe yönelik strateji, planlar ve hedefler yapılan öngörülerle belirlenir. Öngörüler nicel tekniklerle olabileceği gibi nitel tekniklerle de yapılabilmektedir. • Nicel öngörüler; ekonometri ve öngörü bilgisi, nitel öngörüler ise; öngörü yapacak bireyin alan üzerinde çok bilgili ve uzman olmasını gerektirir.

  6. …Öngörümleme nedir…? • Tek denklemli regresyon modellerinin kurulmasındaki başlıcaamaçtahminleme yapmaktır. • Bir tahmin; şu andaki ve geçmişteki bilgilere dayanarak gelecekteki olayların olma olasılığı hakkında yapılan nicel bir değerlendirmedir. Bu bilgi tek denklemli, eşanlı yada zaman serisi modellerigibi modellerle somutlaştırılır.

  7. …Öngörümleme nedir…? • Daha önceki dönemlere ait bilgilerden yararlanarak hesapladığımız modellerden anlamlar çıkararak, gelecek olaylar hakkındaöngörümlemedebulunulur. • Öngörümlemeler sıklıkla kamu düzeni ve özel politikalariçin yol gösterici olarak kullanılır. • Bir modelin oluşturulmasındaana hatları belirlemeleri bakımından da yararlıdır.

  8. …Öngörümleme nedir? Ekonometrik modellere göre geleceğin tahmini bir çok bakımdan önemlidir : Ekonometrik modellerin parametrelerinin hesaplanmasında isabetli bir yol izlenip izlenmediğini belirlemek için tahminden yararlanılmaktadır. İktisat politikasının yapımında geleceğe ait tahminler büyük rol oynar. Geleceğin ekonometrik modeller çerçevesinde tahmini, ekonometri disiplininin kendi kendini düzeltmesi, modelin geliştirilebilmesiiçin yararlıdır, zorunludur.

  9. Öngörümlemenin tarihi gelişimi • Pek çok öngörümleme tekniği aslında 19. yy’ dan bu yana sağlanan gelişmelerle elde edilmiştir. • Bilgisayarlardaki gelişmeler, buna paralel olarak yazılımlardaki çeşitlilik daha uygun öngörümleme tekniklerinin geliştirilmesini sağlamış bu da öngörümlemeye verilen önemin daha da artmasına neden olmuştur.

  10. Öngörümleme biçimleri nelerdir…? • Ekonomik tahmin iki biçimde sınıflandırılabilir : • Nedensel Öngörü/ Ekonometrik Modeller • Zaman Serisi Modelleri

  11. …Öngörümleme biçimleri nelerdir…? • Nedensel Öngörü / Ekonometrik Modeller Ekonometrik modele ait parametre tahminlerinin elde edilmesi ile birlikte model, bağımsız değişkenlerin verilen değerlerine bağlı olarak bağımlı değişken hakkında öngörülerde bulunmak için kullanılabilir. • Zaman Serisi Modelleri Zaman serileri zaman trendi, mevsimlik etken, devresel hareket ve hata teriminden oluşmuştur. Zaman serilerini bu elemanlarına ayırmada ve böylece serinin davranışını öngörmede kullanılabilecek çok sayıda yöntem bulunmaktadır. Bu yöntemler temel olarak geçmişin geleceğe rehber olacağını varsaymaktadır. En bilinen yöntem Box-Jenkins analizidir.

  12. …Öngörümleme biçimleri nelerdir…? • Geleceğin tahmini çoğunlukla zaman serilerine yapılan tahminler olarak kabul edilir ve öyle anlaşılır. • Ancak kesit verilerine dayalı modellerle de tahmin yapılabileceği unutulmamalıdır. Buna göre tahmin kavramının tanımını verecek olursak:

  13. …Öngörümleme biçimleri nelerdir…? • Tahmin, diğer değişkenlerin değerleri, değişme biçimleri ve değişme biçimleri hakkındaki bilgilere dayanarak bazı değişkenlerin değerleri hakkında sayısal bilgi bulabilmektir.

  14. …Öngörümleme biçimleri nelerdir…? Ex-ante ve Ex-post Öngörümleme: • Ex-post öngörümleme İçsel değişkenlerle dışsal açıklayıcı değişkenlerin her ikisine ait gözlemler, öngörümleme süresince kesinlik gösterir. Ex-post öngörümleme mevcut verilerle kontrol edilebilir ve öngörümleme modelinin değerlendirilmesi için bize yol gösterir.

  15. …Öngörümleme biçimleri nelerdir…? Ex-ante öngörümleme Tahminleme sürecinin dışında bağımlı değişkene ait değerler kesin olarak bilinen ya da bilinmeyen açıklayıcı değişkenler kullanılarak tahmini hesaplanır.

  16. …Öngörümleme biçimleri nelerdir…?

  17. …Öngörümleme biçimleri nelerdir? • Nokta ve Aralık Öngörümlemesi Nokta öngörümlemesi Her bir tahmin dönemi için tek bir sayı şeklinde hesaplanırken Aralık öngörümlemesibir aralık gösterir ve verilerin aralık boyunca uzanacağı düşünülür.

  18. …Öngörümleme biçimleri nelerdir…? Koşullu ve Koşulsuz Öngörümleme • Koşulsuz öngörümleme Öngörümleme yapılan eşitlikteki tüm açıklayıcı değişkenlerin değerleri kesin olarak bilinmektedir. • Koşullu öngörümleme Öngörümleme yapılan eşitlikteki bir yada daha fazla açıklayıcı değişkenin değeri bilinmemektedir.

  19. …Öngörümleme biçimleri nelerdir? Her hangi bir ex-post (gerçekleşen) öngörümlemeher zamankoşulsuz bir öngörümlemedir. Fakat aynı zamanda ex-ante (tasarlanan) öngörümleme de koşulsuz öngörümleme olabilmektedir.

  20. Koşulsuz Öngörümleme… • Bir regresyon modeline göre koşulsuz öngörümleme yapabilmek için; öngörümleme dönemindeki (expost) açıklayıcı değişkenlerin kesin ve tam bir şekilde biliniyorolması gerekmektedir. • Bu amaçla zaman gecikmeleri ile ortaya çıkan açıklayıcı değişkenler kullanılabilir. Böylece bağımlı değişken için koşulsuz öngörümleme oluşturulur.

  21. …Koşulsuz Öngörümleme… • Öncelikle iki değişkenli basit regresyon modelini dikkate alarak koşulsuz öngörümlemeyi açıklarsak; (1) (2) değişkenin değeri bilinmektedir. T+1 döneminde Y için en iyi öngörümleme nedir?

  22. …Koşulsuz Öngörümleme… Varsayım: a ve b katsayıları bilinmektedir. değişkenin değeri bilinmektedir. ile ilgili uygun öngörümleme için; (3) Öngörümleme hatası (4) olur ve aşağıdaki iki önemli özelliğe sahiptir: öngörümlemesi sapmasızdır 1. (5)

  23. …Koşulsuz Öngörümleme… Öngörümleme hata varyansı : 2. (6) olası tüm öngörümlemeler arasında minimum varyanslıdır. Öngörümleme hatası normal dağılım gösterir : Normalleştirilmiş hatanın hesaplanması yoluyla Y’nin öngörümlenmiş değeri için anlamlılık testleri oluşturulur. Bunun için: Normalleştirilmiş hata : (7)

  24. …Koşulsuz Öngörümleme… Buna göre öngörümlemeye ilişkin %95 güven aralığı (8) (9) normal dağılım tablosundan bulunur.

  25. …Koşulsuz Öngörümleme… İki değişkenli bir regresyon modeli için %95 güven aralığı aşağıdadır: Şekil 2 : Model Parametrelerinin Bilindiği Durumda Öngörümleme

  26. …Koşulsuz Öngörümleme • Güven aralıkları yoluyla regresyon modelinin güvenilirliği ile ilgili basit bir test yapılır. ’in gerçek değeri bilinirse, öncelikle öngörümlenmiş değeri ile karşılaştırılabilir. ’in gerçek değeri %95 güven aralığının içinde yer alıyorsa model tatmin edicidir. Fakat aralığın dışına düşerse model iyi oluşturulmamıştır.

  27. …Koşulsuz Öngörümleme… • Model güvenilirliğinin ölçümünde sadece t,F ve R2 istatistiklerine bakılmaz. • Tek denklemli bir regresyon modeli anlamlı t istatistikleri ve yüksek bir R2 değerine sahip olabilir. Buna karşılık çok zayıf bir öngörümlemeye de sahip olabilir. • Bu durum modelde açıklanamayan, öngörümleme döneminde gerçekleşen yapısal bir değişimin sonucu olabilir.

  28. …Koşulsuz Öngörümleme… • Regresyon modelleri düşük belirlilik katsayısına ve bir ya da daha fazla anlamsız regresyon katsayısına sahip olsa bile öngörümlemeler iyi olabilir. Bu durum genellikle bağımlı değişkende az bir değişkenlik olduğunda meydana gelir.

  29. …KoşulsuzÖngörümleme… • Genellikle regresyon modelinin parametreleri tahmin edilmiş değerlerdir. Aynı zamanda hata varyansı değeri bilinmez ve tahmin edilir. Şimdi bu durumu inceleyelim: için iyi bir öngörümleme, basit iki aşamalı bir yöntemle belirlenir : 1- Basit En Küçük Kareler Yöntemi kullanılarak (10) modeli tahmin edilir.

  30. …Koşulsuz Öngörümleme… değeri yerine konduğunda 2 - bulunur. (11) iken (10) (12) • Öngörümleme hatası (11-12) (13)

  31. …Koşulsuz Öngörümleme (13) • Bu eşitlikte iki tane hata kaynağı söz konusudur: • Eklenen hata teriminin varlığı • (2)Tahminlenen regresyon parametrelerinin rassal yapısıdır. Bunlardan birincisi Y değişkenindeki varyanstan kaynaklanmakta, ikincisi ise tahminleme yöntemi ve serbestlik derecesinin duyarlılığından kaynaklanmaktadır.

  32. …Koşulsuz Öngörümleme… • Öngörümleme hatasının dağılımı : Öngörümleme hatası normal dağılım gösterir. Çünkü (13) denkleminde de görüldüğü üzere ’in doğrusal bir fonksiyonudur (13) Öngörümleme hatasının ortalaması 0 dır. Çünkü (14)

  33. …Koşulsuz Öngörümleme… sapmasız tahminci, bilinmektedir. Öngörümleme varyansı aşağıdaki gibi belirlenir: (15) 6 nolu bağlantıdan Ya da (16) (16)

  34. …KoşulsuzÖngörümleme… Öngörümleme hatasının dağılımı (…Devam) değerlerinin varyanslarına bakılırsa : ve (17) Burada toplamlar 1’den T’ye kadar olan gözlemler içindir . : ilk T gözlem için X’in örnek ortalamasıdır.

  35. …Koşulsuz Öngörümleme Öngörümleme hatasının dağılımı (…Devam) Bu varyans ve kovaryans eşitlikleri (16) eşitliğinde yerine konulur ve terimler sadeleştirilirse : (16) (18)

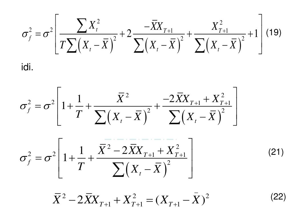
  36. (19) bulunur. (19) nolu eşitlikte parantez içindeki ilk terim aşağıdaki gibi gösterilebilir: sadeleştirildiğinde (20) (20) nolu ifade (19) nolu ifadede yerine konduğunda

  37. (19) idi. (21) (22)

  38. …Koşulsuz Öngörümleme… Böylece öngörümleme hatasının varyansı; (22) Diğer değerler sabitken; örneklem hacmi ne kadar büyük ve X ’in varyansı da ne kadar büyük olursa öngörümleme hatasının varyansı o kadar küçük olur. ,X’in örneklem ortalamasına eşit olarak gerçekleşirse; (22) eşitliğindeki son terim sıfır olacağından öngörümleme hatasının en küçük değeri bulunmuş olur.

  39. …Koşulsuz Öngörümleme… Normalleştirilmiş hata : (23) değeri genellikle bilinmez. değeri genellikle bilinmediği için pratikte Ancak değerinin tutarlı ve sapmasız bir tahmincisi olarak kullanılır: (24)

  40. …Koşulsuz Öngörümleme… Bu eşitlik t dağılımının kullanılmasıyla güven aralıklarının hesaplanmasına olanak sağlamaktadır. Tahmin edilmiş öngörümleme hatası varyansı ise aşağıdaki şekilde hesaplanacaktır : (25)

  41. …Koşulsuz Öngörümleme… • Normalleştirilmiş hatanın ise; olduğu bilinmektedir. Bu eşitlik, T-2 serbestlik derecesine sahip t dağılımı gösterecektir. ’in %95 güven aralığı şu şekilde bulunur: (26)

  42. Tahmin aralığı %95 güven sınırları Xt XT+1 …Koşulsuz Öngörümleme… Yt %95 güven aralığı örneği aşağıdaki şekilde gösterilmiştir Şekil 3: Öngörümleme Güven Aralıkları

  43. …Koşulsuz Öngörümleme… • Bu özellikler çoklu regresyon modelinde de uygulanır. • Güven aralıkları yine aynı şekilde hesaplanır. Ancak iki veya daha fazla değişkenin var olmasından dolayı öngörümleme hatası dağılımının ve güven aralıklarının cebirsel türevleri daha karmaşık olacaktır.

  44. Hataların otokorelasyonlu olduğu durumda öngörümleme… Zaman serisi modellerinde hatalar arasında otokorelasyon olduğunda; en iyi öngörümlemenin ve dağılımının belirlenmesi oldukça zorlaşır. Hatalar birinci dereceden otokorelasyonlu olsun: Hatalar ‘0’ ortalamalı ve zaman boyunca birbirinden bağımsızdır. (27)

  45. Hataların otokorelasyonlu olduğu durumda öngörümleme… Otokorelasyonlu durumda T+1 dönemindeki hata tahmini önceki öngörümleme döneminden etkilenerek değişikliğe uğrayacaktır. Bu sorunu daha iyi tahmin etmek için regresyon parametreleri olan a,b ve rdeğerlerinin bilindiğini varsayalım: tahmini değeri şu şekilde hesaplanacaktır :

  46. …Hataların otokorelasyonlu olduğu durumda öngörümleme… (28) alınmaz. Koşulsuz öngörümlemede olduğu gibi bir önceki hata teriminden hesaplanır. Çünkü; E(vt=0)

  47. Hataların otokorelasyonlu olduğu durumda öngörümleme… Çünkü 0 ortalamalıdır ve zaman boyunca ilişkisidir. a ve b bilindiğinden dolayı da hiçbir tahminleme yapılmaz. (28) eşitliği şu şekilde yazılır: (28) ise (30)

  48. Hataların otokorelasyonlu olduğu durumda öngörümleme… Model, Genelleştirilmiş fark denklemi biçimde yazılır. değerinin tahmini benzer şekilde elde edilir: (32) Öngörümleme aşağıdaki şekilde bulunur:

  49. Hataların otokorelasyonlu olduğu durumda öngörümleme… (35) idi. (35) nolu ilk ifade de i çekersek Aşağıdaki ifadede yerine eşitini, daha sonra da yerine eşitini koyalım. (36)

  50. Hataların otokorelasyonlu olduğu durumda öngörümleme… (36) (37)

More Related