1 / 21

P rotonenvermittelte Esterbildung – protonenvermittelte Esterhydrolyse

P rotonenvermittelte Esterbildung – protonenvermittelte Esterhydrolyse. Die Reaktanden bei einer Veresterung sind eine Carbonsäure und ein Alkohol. In diesem Beispiel lassen wir Essigsäure (offiziell Ethansäure genannt) und 1-Hexanol miteinander reagieren.

page
Download Presentation

P rotonenvermittelte Esterbildung – protonenvermittelte Esterhydrolyse

An Image/Link below is provided (as is) to download presentation Download Policy: Content on the Website is provided to you AS IS for your information and personal use and may not be sold / licensed / shared on other websites without getting consent from its author. Content is provided to you AS IS for your information and personal use only. Download presentation by click this link. While downloading, if for some reason you are not able to download a presentation, the publisher may have deleted the file from their server. During download, if you can't get a presentation, the file might be deleted by the publisher.

E N D

Presentation Transcript


  1. Protonenvermittelte Esterbildung–protonenvermittelte Esterhydrolyse Die Reaktanden bei einer Veresterung sind eine Carbonsäure und ein Alkohol. In diesem Beispiel lassen wir Essigsäure (offiziell Ethansäure genannt) und 1-Hexanol miteinander reagieren.

  2. Protonenvermittelte Esterbildung–protonenvermittelte Esterhydrolyse Die Produkte einer solchen Veresterung sind der Ester (in diesem Fall Essigsäure-n-hexylester) und Wasser. Das kursiv geschriebene „n“ im Namen steht für „normal“ (= unverzweigter Alkylrest in der Alkoholkomponente).

  3. Protonenvermittelte Esterbildung–protonenvermittelte Esterhydrolyse [ H+ ] Eine Veresterung, die durch Protonen katalysiert wird (eine solche protonenvermittelte Esterbildungwird auch als säurekatalysierte Veresterung bezeichnet) ist immer eine Gleichgewichtsreaktion!

  4. Der Reaktionspartner für das 1-Hexanol ist in unserem Beispiel die Essigsäure. Ihre funktionelle Gruppe ist wie bei allen Carbonsäuren die Carboxylgruppe (COOH-Gruppe).

  5. Elektrophiles Zentrum Für das Verständnis der Reaktion zwischen Alkohol und Carbonsäure merken wir uns: Das Carboxyl-C-Atom ist aufgrund des Elektronenzugs der benachbarten O-Atome ein elektrophiles Zentrum, welches – wie im vorliegenden Fall – durch freie Elektronenpaare (oder alternativ durch ebenfalls „bewegliche“ π –Elektronenpaare) des Reaktionspartners angegriffen werden kann.

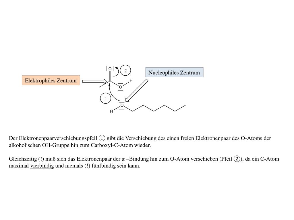
  6. Nucleophiles Zentrum Elektrophiles Zentrum Der Elektronenpaarverschiebungspfeil ① gibt die Verschiebung des einen freien Elektronenpaar des O-Atoms der alkoholischen OH-Gruppe hin zum Carboxyl-C-Atom wieder. Gleichzeitig (!) muß sich das Elektronenpaar der π –Bindung hin zum O-Atom verschieben (Pfeil ②), da ein C-Atom maximal vierbindig und niemals (!) fünfbindig sein kann.

  7. Wenn die Verschiebung beider Elektronenpaare in dieser Weise abläuft, dann entsteht das Zwischenprodukt, das rechts vom Gleichgewichtspfeil gezeichnet ist. Wie wir erkennen, muß das O-Atom, welches das ursprünglich freie Elektronenpaar für eine neue O-C-Bindung zur Verfügung stellt, in dieser dreibindigen Form positiv geladen sein. Das ursprünglich doppelt gebundene O-Atom hingegen ist nunmehr einbindig. Es hat nun ein freies Elektronenpaar mehr als vorher und ist negativ geladen.

  8. Als Katalysator dient die in der Regel zugesetzte konzentrierte Schwefelsäure H2SO4. Sie dient, wie alle Mineralsäuren, als Protonenlieferant. Wir könnten für unsere Zwecke also ebenso gut konzentrierte Phosphorsäure H3PO4 oder konzentrierte Salzsäure HCl einsetzen.

  9. Das von der Schwefelsäure abgegebene Proton wird – in einer Gleichgewichtsreaktion – vom doppelt gebundenen O-Atom der Essigsäure aufgenommen. Die protonierte Essigsäure ist gegenüber dem nucleophilen Angriff der OH-Gruppe des Alkohols reaktionsfreudiger. Dieser Reaktionsschritt läuft also rascher ab als der entsprechende Angriff auf die nicht protonierte Essigsäure.

  10. Wir müssen uns nun die Frage stellen, warum der Angriff des nucleophilen O-Atoms des Alkohols an der protonierten Essigsäure deutlich weniger energieaufwendig ist (und somit rascher abläuft) als im Fall der nicht protonierten Essigsäure?

  11. Der Grund für den weniger aufwendigen und rascheren Angriff im Fall der protonierten Spezies ist die Anwesenheit einer positiven Ladung in der funktionellen Gruppe. Durch diese Ladung wird der elektrophile Charakter des Carboxyl-C-Atoms deutlich erhöht.

  12. Da sowohl das Elektronenpaar der π –Bindung als auch die freien Elektronenpaare „beweglich“ sind, ist die positive Ladung nicht streng auf das O-Atom begrenzt, welches das Proton von der Schwefelsäure übernommen hat. Wie die oben abgebildeten Strukturen zeigen, haben auch das Carboxyl-C-Atom (Struktur in der Mitte) und das zweite O-Atom (Struktur rechts) ihren Anteil an der positiven Ladung.

  13. Man spricht in einem solchen Fall von einer Delokalisierung der positiven Ladung (d.h. sie ist nicht an einem einzigen Atom „lokalisiert“). Vielmehr ist die „Bürde“ der Ladung auf mehrere Schultern verteilt, was dieses positiv geladene Molekül zu einer relativ stabilen Spezies macht. Diese Stabilisierung durch Delokalisierung wird Mesomeriestabilisierung genannt.

  14. Die hier abgebildeten Strukturen nennt man „mesomere Grenzformen“. Sie existieren in diesen abgebildeten Formen nicht wirklich. Der wahre Zustand des geladenen Moleküls wird durch eine Überlagerung aller theoretisch konstruierbarer Grenzformen wiedergegeben.

  15. Diese Überlagerung aller drei Grenzformen würde zu der oben abgebildeten Struktur führen, in der die Delokalisierung mit gestrichelt gezeichneten Bindungen und die gleichmäßige Verteilung der positiven Ladung durch eine geschweifte Klammer wiedergegeben wird. Diese Darstellung entspricht allerdings nicht der von Lewis entwickelten Schreibweise, die keine gestrichelten Bindungen vorsieht. Lewis gab vielmehr vor, daß Elektronenpaare mit (durchgehend gezeichneten) Strichen wiedergegeben werden.

  16. Die Abbildung hier zeigt, daß in unserem Reaktionsgemisch die Protonen beliebig hin- und her übertragen werden können. Das positiv geladene O-Atom des Zwischenprodukts kann sein Proton entweder an ein Hydrogensulfat-Ion abgeben oder, wie hier in der Abbildung gezeigt, an eine OH-Gruppe eines zweiten direkt benachbarten Moleküls.

  17. Zum gleichen Zeitpunkt nimmt eine der beiden OH-Gruppen mit ungeladenem O-Atom von einem Protonenlieferanten (entweder H2SO4 oder eine benachbarte protonierte Spezies) ein Proton auf (siehe oben links).

  18. Die obige Abbildung zeigt die Struktur des aus diesem Reaktionsschritt resultierenden neuen Zwischenprodukts. Im oberen Bereich der Struktur sieht man das zweite Produkt der Veresterung, nämlich das Wassermolekül, nun bereits vorgebildet.

  19. Das bereits vorgebildete Wassermolekül wird gemäß der Elektronenpaarverschiebung ① freigesetzt. Gleichzeitig können die Elektronenpaarverschiebungen nach den Pfeilen ② und ③ ablaufen, mit denen sich die Übergabe des Protons von der übrigbleibenden OH-Gruppe an eine anwesende Base, hier das Hydrogensulfat-Ion, vollzieht. Das gemäß ② verschobene Elektronenpaar wird nunmehr zum Elektronenpaar der neuen π –Bindung zwischen dem O- und dem C-Atom. Die Carboxylgruppe des Esters ist somit vollständig ausgebildet.

  20. Die obige Gleichung gibt die Gesamtreaktion wieder. Beachten Sie den Gleichgewichtspfeil!! In der Rückreaktion wird der Ester also durch Zugabe von Wasser zur entsprechenden Säure und zum entsprechenden Alkohol aufgespalten. Eine solche Aufspaltung durch Wasser nennt man Hydrolyse (gr.: hydor = Wasser, lysis = Spaltung). Auch diese Rückreaktion (Esterhydrolyse) wird selbstverständlich durch Protonenzugabe katalysiert.

  21. Basenvermittelte Esterhydrolyse Eine auf den ersten Blick völlig analoge Reaktion ergibt sich, wenn der Ester nicht mit einer Mineralsäure wie H2SO4 versetzt wird, sondern mit einer starken Lauge wie z.B. Natronlauge (= wässrige Lösung von Natrium-hydroxid NaOH). Beachten Sie: der Reaktionspfeil ist hier kein Gleichgewichtspfeil mehr!! Die Reaktion verläuft ausschließlich von Seiten des Esters aus hin zum Alkohol und dem Salz der Carbonsäure – und nicht mehr zurück. Wir sprechen in einem solchen Fall von einer irreversiblen Reaktion.

More Related