michon
Uploaded by
7 SLIDES
177 VIEWS
70LIKES

荷载板试验结果

DESCRIPTION

习题 【1-1】 某住宅总压力为 70kPa ,埋深 1m ,淤泥质粉质粘土的天然重度为 18kN/m 3 ,在基础埋深 1m 处用直径 1.13m 的荷载板进行室外荷载板试验,得到表 1-3 数据,试确定该地基的基床系数。. 荷载板试验结果. 【 解 】 式中 p 2 和 p 1 分别为基础底面计算压力和土的自重压力。故有. 对应的沉降由下表进行线性内插,有. 从而有. 所以该地基的基床系数. 图 1-13 习题 1-2.

1 / 7

Download Presentation

荷载板试验结果

An Image/Link below is provided (as is) to download presentation Download Policy: Content on the Website is provided to you AS IS for your information and personal use and may not be sold / licensed / shared on other websites without getting consent from its author. Content is provided to you AS IS for your information and personal use only. Download presentation by click this link. While downloading, if for some reason you are not able to download a presentation, the publisher may have deleted the file from their server. During download, if you can't get a presentation, the file might be deleted by the publisher.

E N D

Presentation Transcript


  1. 习题【1-1】某住宅总压力为70kPa,埋深1m,淤泥质粉质粘土的天然重度为18kN/m3,在基础埋深1m处用直径1.13m的荷载板进行室外荷载板试验,得到表1-3数据,试确定该地基的基床系数。 荷载板试验结果 【解】 式中p2和p1分别为基础底面计算压力和土的自重压力。故有

  2. 对应的沉降由下表进行线性内插,有 从而有 所以该地基的基床系数

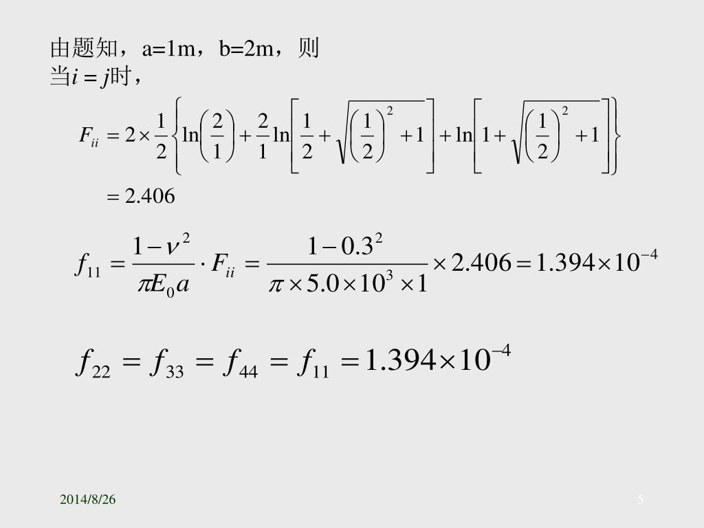
  3. 图1-13 习题1-2 习题【1-2】如图1-13所示,某地基表面作用p=100kPa的矩形均布荷载,基础的宽, 长,试写出弹性半空间地基模型的柔度矩阵。矩形荷载面积等分为4个网格单元,变形模量 ,泊松比。

  4. 【解】根据式(1-37),弹性半空间地基模型的柔度系数可表示为:【解】根据式(1-37),弹性半空间地基模型的柔度系数可表示为:

  5. 由题知,a=1m,b=2m,则 当i = j时,

  6. 当i ≠ j时, , ,

  7. 弹性半空间地基模型的柔度矩阵为 , ,

More Related