1 / 26

Amino Acids, Peptides, Proteins

Amino Acids, Peptides, Proteins. Functions of proteins: Enzymes Transport and Storage Motion, muscle contraction Hormones Mechanical support Immune protection (Antibodies) Generate and transmit nerve impulses Control growth and differentiation Lens protein in eye Feathers Spider webs

mandel
Download Presentation

Amino Acids, Peptides, Proteins

An Image/Link below is provided (as is) to download presentation Download Policy: Content on the Website is provided to you AS IS for your information and personal use and may not be sold / licensed / shared on other websites without getting consent from its author. Content is provided to you AS IS for your information and personal use only. Download presentation by click this link. While downloading, if for some reason you are not able to download a presentation, the publisher may have deleted the file from their server. During download, if you can't get a presentation, the file might be deleted by the publisher.

E N D

Presentation Transcript


  1. Amino Acids, Peptides, Proteins Functions of proteins: Enzymes Transport and Storage Motion, muscle contraction Hormones Mechanical support Immune protection (Antibodies) Generate and transmit nerve impulses Control growth and differentiation Lens protein in eye Feathers Spider webs Horns Milk proteins Antibiotics Mushroom poison ….. Luciferin, luciferase Hemoglobin

  2. Amino Acids General structure  carbon, side chain (R group)

  3. Amino Acids

  4. Amino Acids

  5. Amino Acids

  6. Amino Acids

  7. Amino Acids

  8. Amino Acids Amino Acid Abbreviations Nonpolar, aliphatic R group Glycine Alanine Proline Valine Leucine Isoleucine Methionine Aromatic R groups Phenylalanine Tyrosine Tryptophan Polar, uncharged R groups Serine Threonine Cysteine Asparagine Glutamine Positively charge R groups Lysine Histidine Arginine Negatively charged R groups Aspartate Glutamate Gly G Ala A Pro P Val V Leu L Ile I Met M Phe F Tyr Y Trp W Ser S Thr T Cys C Asn N Gln Q Lys K His H Arg R Asp D Glu E

  9. Amino Acids

  10. Amino Acids Additional properties of Amino Acids Numbering of R group carbons  6  5  4  3  2 1 CH2 CH2 CH2 CH2 CH COO- +NH3 +NH3 Aromatic side chains absorb UV light Trp 280 nm Tyr 280 nm Phe 260 nm Peptide bond 210-214 nm Disulfide bond formation with cysteine oxidation reduction

  11. Amino Acids Nonpolar, aliphatic R group Gly, Ala, Pro, Val, Leu, Ile, Met Gly - no steric hindrance Pro - hinders backbone flexibility hydrophobic core of soluble proteins found in transbilayer part of membrane proteins Aromatic R groups Phe, Tyr, Trp hydrophobic, Stacking Tyr/Trp - H-bonding Tyr - site of phosphorylation Polar, uncharged R groups Ser, Thr, Cys, Asn, Gln Ser/Thr - H-bonding; phosphorylated, glycosylated; enzyme active sites Cys - disulfide bonds; enzyme active sites; metal ion binding Asn/Gln - very polar, H-bonding Positively charge R groups Lys, His, Arg His - pKa close to neutrality (catalysis); ligand for metal ions (Zn2+, Fe2+) Negatively charged R groups Asp, Glu General acids/bases in catalysis (lysozyme) Chelate divalent metal ions (Mg, Ca, Mn, Zn)

  12. Uncommon Amino Acids prothrombin collagen elastin myosin

  13. Amino Acids Optical Activity of Amino Acids For all AA except glycine the  carbon is bonded to 4 different groups: Carboxyl, amino, hydrogen, and R group (in Gly, R group is hydrogen) Chiral center = ___________________ All AA except Gly Gly

  14. Amino Acids Optical Activity of Amino Acids For all AA except glycine the  carbon is bonded to 4 different groups: Carboxyl, amino, hydrogen, and R group (in Gly, R group is hydrogen) Chiral center =  carbon All AA except Gly Gly

  15. Amino Acids Optical Activity of Amino Acids 1 Chiral center = ___ stereoisomers Stereoisomer found in proteins =

  16. Amino Acids Optical Activity of Amino Acids 1 Chiral center = 2 stereoisomers Stereoisomer found in proteins = L-amino acids

  17. Amino acids act as acids and bases “zwitterion” amphoteric Base = proton acceptor, electron pair donor Acid = proton donor, electron pair acceptor

  18. Amino acid titration Curve 2 buffer regions pK1 = a carboxyl group pK2 = a amino group isoelectric point (pI)- pH where there is an equal amount of (+) and (-) charges (overall charge of zero) isoelectric point (pI) for glycine is at pH = 5.97 pI = (pK1 + pK2)/2

  19. Chemical environment influences pKa

  20. Titration Curve of Histidine Histidine R group has pKa = 6.0 No other AA side chain has a pKa near neutral pH So Histidine is really the only AA that can be: an effective buffer at physiological pH (7.0)

  21. Peptides and Proteins Peptide - two amino acids joined covalently by a peptide bond Polypeptide - many AA joined together by peptide bond (M.W.<10,000) Protein - macromolecule with one or more polypeptide chains condensation

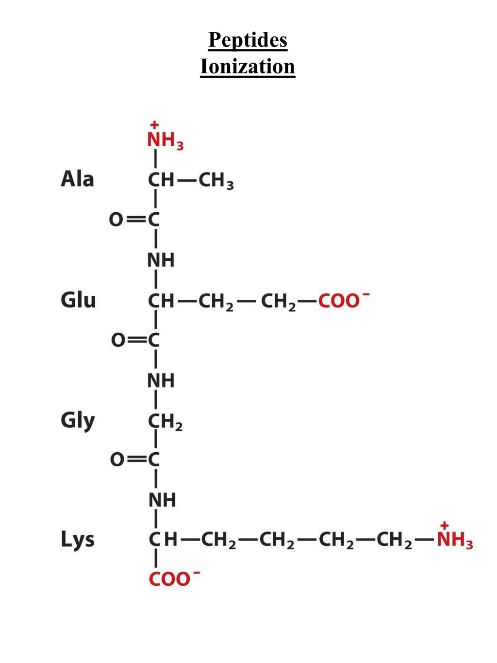
  22. Peptides Ionization

  23. Biologically active Peptides & Polypeptides Dipeptide (Nutrasweet) Other small peptides Oxytocin (9 aa) - stimulates uterine contractions Bradykinin (9 aa) - inhibits tissue inflammation Amanitin - mushroom poison Polypeptides Insulin - pancreatic hormone, needed for sugar metabolism, 2 polypeptide chains (30 aa and 21 aa) Glucagon - pancreatic hormone, opposes action of insulin (29 aa) Corticotropin - anterior pituitary gland hormone, stimulates adrenal cortex (39 aa)

  24. Proteins contain other prosthetic groups

  25. Protein Structure

More Related