latham
Uploaded by
46 SLIDES
882 VIEWS
460LIKES

例題 11 :計算 的一個近似值?

DESCRIPTION

例題 11 :計算 的一個近似值?. 例題 11 :計算 的一個近似值? 想想看? 34.6 附近的什麼數,可以很容易 的被開根號出來, 36 應該是一個適當的數字。. 解:令 有 ,且 利用 即 的近似值為 5.8833 。. 例題 12 :計算 的一個近似值?. 例題 12 :計算 的一個近似值? 想想看? 29 附近的什麼數,可以很容易的 被開立方根出來, 27 應該是一個適當的數字。.

1 / 46

Download Presentation

例題 11 :計算 的一個近似值?

An Image/Link below is provided (as is) to download presentation Download Policy: Content on the Website is provided to you AS IS for your information and personal use and may not be sold / licensed / shared on other websites without getting consent from its author. Content is provided to you AS IS for your information and personal use only. Download presentation by click this link. While downloading, if for some reason you are not able to download a presentation, the publisher may have deleted the file from their server. During download, if you can't get a presentation, the file might be deleted by the publisher.

E N D

Presentation Transcript


  1. 例題11:計算 的一個近似值?

  2. 例題11:計算 的一個近似值? 想想看?34.6附近的什麼數,可以很容易 的被開根號出來,36應該是一個適當的數字。

  3. 解:令 有 ,且 利用 即 的近似值為 5.8833。

  4. 例題12:計算 的一個近似值?

  5. 例題12:計算 的一個近似值? 想想看?29附近的什麼數,可以很容易的 被開立方根出來,27應該是一個適當的數字。

  6. 解:令 有 ,且 利用 即 的近似值為 3.074。

  7. 例題13:求 的一條直線近似?

  8. 例題13:求 的一條直線近似? 想想看?3附近的什麼數,可以很容易的 被開根號出來,1+3應該是一個適當的數字。

  9. 解:令 ,且 利用 即 ,適用範圍在x=1附近。

  10. 上述的近似在x=1附近時所計算的誤差較小

  11. 例題13:求 的一條直線近似? 解:令 ,且 利用 即 ,適用範圍在x=1附近。

  12. 上述的近似在x=1附近時所計算的誤差較小

  13. 例題13:求 的一條直線近似?

  14. 例題13:求 的一條直線近似? 另解: 6+3也是容易被開根號出來的數字。 13+3也是容易被開根號出來的數字。 22+3也是容易被開根號出來的數字。 我們就以6+3為例來求解。

  15. 另解: 令 ,且 利用 即 ,適用範圍在 x= 6 附近。

  16. 例題14:求 的一條直線近似?

  17. 例題14:求 的一條直線近似? 想想看?什麼數的自然指數,可以很容易 的被計算出來,0應該是一個適當的數字, 因為 。

  18. 解:令 ,且 利用 即 ,適用範圍在x=0附近。

  19. 總複習

  20. 我們可將 dy/dx視為 dy除以 dx,如此不僅可利用 dy 來求某些近似值的問題,往後在求某些微分與積分的問題時會更方便。

  21. 微分定義 設函數y = f(x)在x處可微分,則定義 dy = f’(x)dx ………………(1) 稱為y的微分,其中dx = Δx為任意實數。

  22. 上述dy為兩變數x與dx之函數,例如: • d(x2 + 1) = 2xdx • d(2x3 + 2x + 5) = (6x2 + 2)dx • 若dx ≠ 0,以dx除(1)式,得

  23. (1)式表示y = f(x)之微分,而(2)式表示y = f(x) 的導函數,微分與導函數雖然不同, 但在dx ≠ 0之條件下,由(1)式可得(2) 式,由(2)式亦可得(1)式,我們稱求導函數 的方法為微分法,不過在那裏的”微分”, 是當作動詞用,而此處的微分則是名詞。

  24. 複習1. 設 y = (x2 + 1)10,求dy

  25. 複習1. 設 y = (x2 + 1)10,求dy 解:

  26. 複習2. 設 ,求dy

  27. 複習2. 設 ,求dy 解:

  28. 複習3. 設 ,求dy, 又當 x = , dx = 時 dy 之值為何?

  29. 複習3. 設 ,求dy, 又當 x = , dx = 時 dy 之值為何? 解:

  30. 複習3. 設 ,求dy, 又當 x = , dx = 時 dy 之值為何? 解:

  31. 複習3. 設 ,求dy, 又當 x = , dx = 時 dy 之值為何? 解:

  32. 設y = f(x) 為可微分函數,令dx = Δx ≠ 0,且當x 增至x + Δx 時,y 增為 y + Δy。因y + Δy = f (x +Δx),故 Δy = f(x + Δx) – f(x) = f(x + Δx) – f(x)

  33. 複習4. 設 ,求當x = 3, Δx = 0.1時之y的增量Δy。 解:

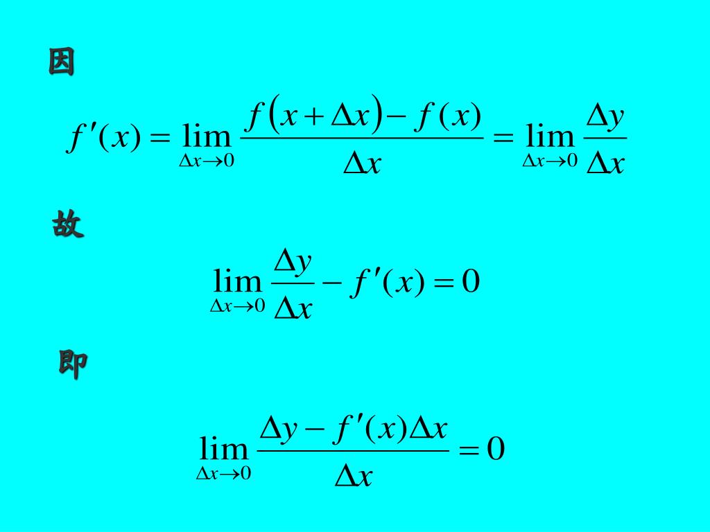
  34. 以下討論Δy與dy的關係

  35. 故 即

  36. 因此,當 |Δx| 很小時,Δy (符號 為近似) Δy dy 如令Δx =dx (甚小時),則得 dy為Δy的最佳近似值。

  37. 複習5. 試用微分法,求 之近似值

  38. 例5. 試用微分法,求 之近似值 解: 我們要作開立方的運算,故可設

  39. 例5. 試用微分法,求 之近似值 解:

  40. 練習題

  41. 練習1. 求下列各題已知函數之微分dy:

  42. 練習2. 已知 x 及Δx 之值,試求Δy及dy:

  43. 練習3. 試用微分法求下列各題的近似值:

  44. 練習4. 一正方盒之邊長為12吋,其可能誤 差為0.1吋,則此盒子之體積的可能 誤差為多少?

  45. 練習5. 一個球的半徑為3吋,其可能誤 差為0.03吋,則此球的表面積之可 能誤差為多少?

  46. 本單元到此結束

More Related