1 / 22

投資組合保險 (Portfolio Insurance)

投資組合保險 (Portfolio Insurance). * 投資組合保險最早出現在 1956 年的英國,由商業組織 販賣保險給投資人 ,保護他們可能的投資損失。 * 美國則於 1971 年出現類似的活動,由 Harleysville Mutual Insurance Company 及 Prudential Insurance Company of America 為個人投資人提供保險。. 資產配置策略. * 資產配置策略大致上可分成三大類: (1) 買入持有策略: 當期初資產買入後,便不再進行調整。 (2) 買高賣低策略 :

erno
Download Presentation

投資組合保險 (Portfolio Insurance)

An Image/Link below is provided (as is) to download presentation Download Policy: Content on the Website is provided to you AS IS for your information and personal use and may not be sold / licensed / shared on other websites without getting consent from its author. Content is provided to you AS IS for your information and personal use only. Download presentation by click this link. While downloading, if for some reason you are not able to download a presentation, the publisher may have deleted the file from their server. During download, if you can't get a presentation, the file might be deleted by the publisher.

E N D

Presentation Transcript


  1. 投資組合保險(Portfolio Insurance)

  2. * 投資組合保險最早出現在1956年的英國,由商業組織販賣保險給投資人,保護他們可能的投資損失。 * 美國則於1971年出現類似的活動,由Harleysville Mutual Insurance Company及Prudential Insurance Company of America為個人投資人提供保險。

  3. 資產配置策略 • *資產配置策略大致上可分成三大類: (1)買入持有策略: 當期初資產買入後,便不再進行調整。 (2)買高賣低策略: 於期初將資金分配於風險性資產與無風險資產間,當風險性資產價格上漲時,則持續買入,下跌則持續賣出。 (3)買低賣高策略: 操作方向與買高賣低策略相反。當風險性資產價格上漲時,則持續賣出,下跌則持續買入。

  4. Rubinstein and Leland(1981)將資產配置策略結合保險的觀念,指出買高賣低策略為買保險,買低賣高策略則為賣保險。 • Andre F. Perold and William F. Sharpe(1995)則從報酬的形態來區別保險的買賣方,如果具有凸性的報酬型態,可視為購買保險,例如複製性賣權和固定比例(constant proportion)皆是;若為凹性的報酬型態,則是賣保險,例如固定組合(constant mix)的策略;至於線性的報酬型態則是買入持有策略。

  5. 買高賣低(投資組合保險)策略 (一)風險性資產+歐式賣權: 將資金投資於風險性資產和以其為標的物的歐式賣權,以保障投資組合到期價值於某特定值以上。這種策略並不需要進行調整,不過如果市場上沒有對應的賣權存在,則必須用下一個策略來複製。

  6. 投資組合保險的概念最初來自股票和賣權的組合。投資組合保險的概念最初來自股票和賣權的組合。 • 如果一個投資人持有一單位的股票,而他希望在某一段期間後,他持有的資產至少價值k元,則他可以購入一個以該一單位股票為標的物的賣權,賣權的權利期間相當於保險期間,這樣的策略被稱為保護性賣權策略。

  7. 於是投資人在期初投入了一單位的股票及賣權的錢,共為S+P元,而期末則至少保證可獲得K元,相當是替股票買了一個保險。於是投資人在期初投入了一單位的股票及賣權的錢,共為S+P元,而期末則至少保證可獲得K元,相當是替股票買了一個保險。 • 當期末股價低於K元時,投資人執行賣權,可收回K元;當到期日時股價高於K元,投資人則任賣權到期,比起不買保險的情況,投資人多支出了賣權的權利金(P)。這筆賣權的權利金,就是投資人購買保險所支付的保費。

  8. (風險性資產+歐式賣權)之3缺點 1.交易所交易的賣權種類不夠多,往往無法滿足個別投資人的避險需求; 2.賣權流動性不足,所以以購買賣權進行保險的概念很難實地去執行;

  9. 投資人的標的資產如果不是單一股票,而是一籃股票所形成的投資組合,則分別購買以個股為標的物的賣權其權利金加總必然高於直接購買以該一籃股票為標的物的賣權權利金。投資人的標的資產如果不是單一股票,而是一籃股票所形成的投資組合,則分別購買以個股為標的物的賣權其權利金加總必然高於直接購買以該一籃股票為標的物的賣權權利金。 因為投資組合本身就會分散非系統風險,而個股則同時承擔了系統及非系統風險。因此購買個別的賣權進行保險是連非系統風險都支付保費,故較直接購買以該一籃股票為標的物的賣權為貴,當投資組合愈分散,這個差距就愈大。

  10. (二)複製性賣權策略(synthetic put) 本法則是依據Black and Scholes於1973年所提出的選擇權評價模式,調整風險性資產和無風險資產的數目,以複製出歐式賣權的報酬。

  11. 1981年Rubinstein和Leland利用Black和Scholes於1973年提出的選擇權訂價模式,用動態資產調整的方法,複製選擇權的報酬。 他們提出了以股票和無風險資產複製選擇權的觀點,於是對於有意執行投資組合保險的投資人而言,即使沒有合適的賣權存在,還是可以透過複製的方式去執行保險策略。

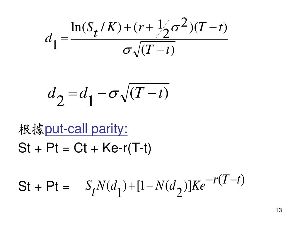
  12. Black & Scholes選擇權定價模式 • 據Black & Scholes(1973),在所假設的完美市場條件下,買權的價值等於: 其中 St : 在時間 t 時的股價 k: 執行價格 r: 無風險利率 t: 當時時點 T: 選擇權到期時點 N : 累積常態機率分配

  13. 根據put-call parity: St + Pt = Ct + Ke-r(T-t) St + Pt =

  14. 假設投資人在t時點有的財富W,正好等於標的資產的價格(St),於是他可以將的財富用於購買一單位的風險性資產。如果投資人希望在時至少能拿回的資金,他便可以再購買一個以該一單位風險性資產為標的物的歐式賣權,而此賣權在T時到期。假設投資人在t時點有的財富W,正好等於標的資產的價格(St),於是他可以將的財富用於購買一單位的風險性資產。如果投資人希望在時至少能拿回的資金,他便可以再購買一個以該一單位風險性資產為標的物的歐式賣權,而此賣權在T時到期。

  15. 這就相當於上式所表達的意義,而購買賣權所需的權利金須額外付出,相當是購買保險所須支付的保費。若看等式的右邊,則可發現受保的投資組合其實是由一部分的股票和一部分的無風險資產所構成,至於構成的比重則隨時間的經過及當時資產的價值而變,故需不斷的調整。這就相當於上式所表達的意義,而購買賣權所需的權利金須額外付出,相當是購買保險所須支付的保費。若看等式的右邊,則可發現受保的投資組合其實是由一部分的股票和一部分的無風險資產所構成,至於構成的比重則隨時間的經過及當時資產的價值而變,故需不斷的調整。

  16. 由於 Synthetic put的動態調整策略複雜,所以另有人以簡單的參數設定,執行以下兩個策略(CPPI及TIPP),達到保險的目的。

  17. 這類策略雖看似簡單,其實卻有很深的理論基礎。這類策略雖看似簡單,其實卻有很深的理論基礎。 • 和 Synthetic put最大的不同在於 synthetic put必需對波動性進行精確的估計,在一定期間內使累積波動性達到預定水準,完成保險目的; CPPI及TIPP策略則不對波動性進行估計,只能在累積波動達成預設水準時達到保險目的,無法準確要求在一定時間內達成保險目的。以下的CPPI及TIPP就是這類的策略。

  18. (三)CPPI(Constant Proportion Portfolio Insurance;固定比率投資組合保險) CPPI是利用以下公式決定投資於風險性資產和無風險資產的金額: 投資於風險性資產的部位 = 乘數*(受保投資組合總價值-保險額度) 其中乘數及保險額度於期初決定後便不再變更。 CPPI所根據的公式如下所示: E = M * (A-F)

  19. 其中 E : 應投資於風險性資產的部位 • M : 乘數 • A : 資產總值 • F : 保險額度 • <例> • 100 = 2 * (200 - 150) • 60 = 2 * (180 – 150) -> 減碼20(=100-60-20) • 0 = 2 * (150 – 150) -> 減碼30(=60-0-30)

  20. (四)TIPP(Time-Invariant Portfolio Protection;彈性遞增投資保險) TIPP的調整公式與CPPI同。唯一的差異在於保險額度並非不變,而是在該時點資產值的某一固定比例和原先的保險額度中,取其大者,作為新的保險額度。 保險額度(F’) = Max(A*f,F) 其中f為投資人所設定的要保比例(如90%) ,F則為期初所決定的要保額度。

  21. 做這樣修正的理由,主要是著眼於投資人關心的應是他目前的財富水準,而非他過去的財富水準,因此把他目前的財富水準列入考慮。做這樣修正的理由,主要是著眼於投資人關心的應是他目前的財富水準,而非他過去的財富水準,因此把他目前的財富水準列入考慮。 • 當投資人的財富減少時,他不希望他的財富低於期初所設定的保險額度。而當投資人的財富增加時,他所要求的保險額度也要愈高,以免大部份賺到的利潤又因為行情下跌而失去。 • 由此觀之,TIPP實是比CPPI更為保守的保險策略。

  22. <例>本金:200;原始保本:140。 投資風險性資產(如股票): (原來) 120 = 2 * (200 - 140) (假設f=70%) (情況1) 80 = 2 * (180 - 140) (180*70%=126<140) 減碼20(=(120-80)-(200-180)) (情況2.1) 150 = 2 * (250 -175) (250*70%=175>140) 減碼20(=(150-120)-(250-200)) (情況2.2) 240 = 2 * (400 - 280) (400*70%=280>140) 減碼60(=(240-150)-(400-250))

More Related