donat
Uploaded by
51 SLIDES
1573 VIEWS
771LIKES

Chapter 4 Partial differentiation ( 편미분 )

DESCRIPTION

Mathematical methods in the physical sciences 3rd edition Mary L. Boas. Chapter 4 Partial differentiation ( 편미분 ). Lecture 12 Introduction of partial differentiation. 1. Introduction. - Differentiation. ex. - Time rates such as velocity, acceleration, and rate of cooling of a hot body.

1 / 51

Download Presentation

Chapter 4 Partial differentiation ( 편미분 )

An Image/Link below is provided (as is) to download presentation Download Policy: Content on the Website is provided to you AS IS for your information and personal use and may not be sold / licensed / shared on other websites without getting consent from its author. Content is provided to you AS IS for your information and personal use only. Download presentation by click this link. While downloading, if for some reason you are not able to download a presentation, the publisher may have deleted the file from their server. During download, if you can't get a presentation, the file might be deleted by the publisher.

E N D

Presentation Transcript


  1. Mathematical methods in the physical sciences 3rd edition Mary L. Boas Chapter 4 Partial differentiation (편미분) Lecture 12 Introduction of partial differentiation

  2. 1. Introduction - Differentiation ex. - Time rates such as velocity, acceleration, and rate of cooling of a hot body. - Rate of change of volume of a gas with applied pressure (P, V) - Rate of decrease of fuel in your car tank with distance travelled (l, Q) - Differential equation - Finding Max. or Min.

  3. - Partial differentiation When we want to find the slope of z with respect to y, keeping x constant, we can use the partial differentiation. z y x

  4. - High order partial derivatives Example

  5. The symbol is usually read “the partial of z with respect to r, with x held constant”. However, the important point to understand is that the notation means that z has been written as a function of the variables r and x only, and then differentiated with respect to r. (Caution)

  6. 2. Power series in two variables (두 변에 대한 멱급수) Example 1. Example 2

  7. - General expression First, express the function with the power series and then determine the coefficients. Finding partial derivatives,

  8. Then, Using a simpler form, x – a = h and y – b = k. second-order terms, similarly, third-order terms Finally,

  9. 3. Total differentials (전 미분) - Single variables - Two variables and more

  10. 4. Approximations using differentials (미소량을 이용한 어림) Example 1.

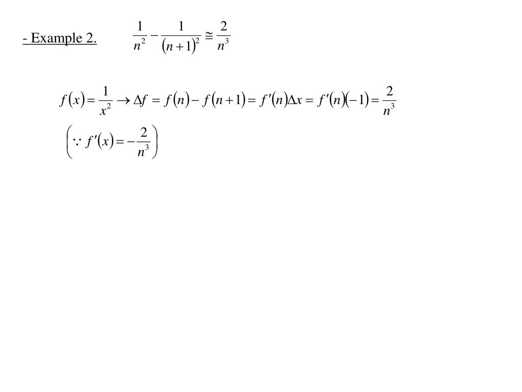
  11. - Example 2.

  12. - Example 3. reduced mass If m_1 is increased by 1%, what fractional change in m_2 leaves  unchanged?

  13. Example 4. Relative error rate: 5 % in the length measurement and 10 % for the radius measurement

  14. Mathematical methods in the physical sciences 3rd edition Mary L. Boas Chapter 4 Partial differentiation Lecture 13 Chain rule

  15. 5. Chain rule or differentiating a function of a function (연쇄법칙과 함수의 함수 미분하기) Example 1. ‘chain rule’

  16. Example 2.

  17. Example 3.

  18. 6. Implicit differentiation (음함수 미분) Example 1. We realized that x is a function and just differentiate each term of the equation with respect to t (implicit differentiation). This problem is even easier if we want only the numerical values of the derivatives at a point.

  19. 7. More chain rule (더 많은 연쇄법칙) Example 1.

  20. Example 2. - Using the differentials,

  21. - Using the derivatives, cf. Using the matrix form,

  22. Example 3. ‘A computer may save us some time with the algebra.’

  23. Example 4.

  24. Let’s skip Example 5. Example 6. Rectangular vs. polar coordinates. (reciprocal) constant y i) and ii)-1 are different!! constant r

  25. This is a general rule: partial derivatives are not usually reciprocals; they are reciprocals if the other independent variables (besides u or v) are the same in both cases.

  26. Mathematical methods in the physical sciences 3rd edition Mary L. Boas Chapter 4 Partial differentiation Lecture 14 Max. & Min. 26/15

  27. 8. Application of partial differentiation to maximum and minimum problems (최대, 최소값 문제에서 편미분의 응용) - dy/dx=0 is a sufficient condition for max. or min. of f(x). inflection max. (convex) min. (concave) (d2y/dx2 = 0) (d2y/dx2> 0) (d2y/dx2< 0) - To minimize z = f(x,y), cf. saddle point 27/15

  28. Example. A pup tent of given volume, V, with ends but no floor, is to be made using the least possible material. find the proportions. To minimize A, 28/15

  29. 9. Maximum and minimum problems with constants; Lagrange multipliers (제한조건이 있는 최대 최소값 문제 ; Lagrange 곱수) Example 1. shortest distance - Methods: (a) elimination, (b) implicit differentiation, (c) Lagrange multipliers (a) Elimination (제거방법) 29/15

  30. (b) Implicit differentiation (음함수 미분) 30/15

  31. Example 2. Shortest distance from the origin to the plane cf. Equation of plane, ax+by+cz=d If (a,b,c) is a unit vector, abs(d) is a distance from the origin. 31/15

  32. (c) Lagrange Multipliers ‘two functions’ ‘single function’ cf. valid for more than variables, ex. (x,y,z) 32/15

  33. - Using the Lagrange multipliers, 33/15

  34. Example 3. Find the volume of the largest rectangular parallelepiped (that is box) with edges parallel to the axes, inscribed in the ellipsoid, Multiplying each equation with the other variable, and then, adding all three, 34/15

  35. - More constraints 35/15

  36. To find the maximum or minimum of f subject to the conditions Φ1=const. and Φ2=const., define F=f + λ1Φ1+ λ2Φ2and set each of the partial derivatives of F equal to zero. Solve these equation and the Φ equation for the variables and the λ’s. 36/15

  37. Example 4. Minimized distance from the origin to the intersection of 37/15

  38. 10. Endpoint or boundary point problems (끝점 혹은 경계점 문제) - Besides the extreme points, we should check the boundary points (or lines). case I case II case III case IV 38/15

  39. Example 1. A piece of wire 40 cm long is to be used to form the perimeters of a square and a circle in such a way as to make the total area (of a square and circle) a maximum. r (40-2r)/4 Considering the values at the boundary points, 39/15

  40. Example 2. The temperature in a rectangular plate bounded by the lines, (3,5) - Differentiating, y=5 x=3 - Boundary check (0,0) min. max. and check corners. At (3,5), T= 130. 40/15

  41. H. W. (Due 5/21) Chapter 4 4-15, 6-4, 9-11, 10-9 41/15

  42. Mathematical methods in the physical sciences 3rd edition Mary L. Boas Chapter 4 Partial differentiation Lecture 15 Change of variables

  43. 11. Change of variables (변수 변환) Sometimes, we can make the differential equation simpler by changing variables. Example 1. Make the change of variables. Here, we can use the operation notation,

  44. Then, cf. compare with the original eq,

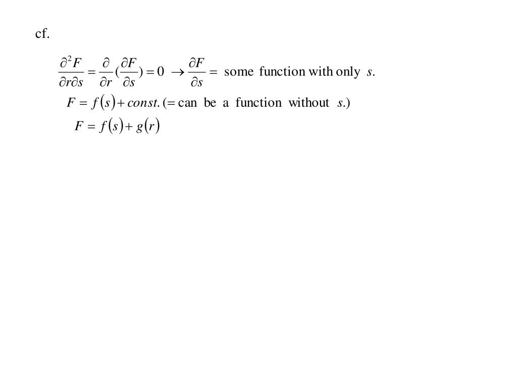
  45. cf.

  46. Example 2. Laplace equation cf. Schrodinger eq.: cylindrical spherical

  47. (i)

  48. (ii) For convenience,

  49. 1) 2) 1)

  50. 1) 2) 2) Finally,

More Related