colton
Uploaded by
18 SLIDES
427 VIEWS
180LIKES

15.3 收敛定理的证明

DESCRIPTION

15.3 收敛定理的证明. 极限的算术平均值 ,  即. 方法是把该极限表达式化为积分 , 利用. R—L 定理证明相应积分的极限为零. 于是把问题归结为证明. 这两式的证明是相同的 , 只证第一式. 3 为证上述第一式 , 先利用三角公式. 建立所谓 Dirichlet 积分. 于是又把上述 1 中所指的第一式左端化为. 4     利用所谓 Riemann — Lebesgue 定理证明上述极限为零 . 为此 , 先证明 Bessel 不等式 , 再建立 Riemann — Lebesgue 定理 , 然后把以上最后的式子化为.

1 / 18

Download Presentation

15.3 收敛定理的证明

An Image/Link below is provided (as is) to download presentation Download Policy: Content on the Website is provided to you AS IS for your information and personal use and may not be sold / licensed / shared on other websites without getting consent from its author. Content is provided to you AS IS for your information and personal use only. Download presentation by click this link. While downloading, if for some reason you are not able to download a presentation, the publisher may have deleted the file from their server. During download, if you can't get a presentation, the file might be deleted by the publisher.

E N D

Presentation Transcript


  1. 15.3 收敛定理的证明 极限的算术平均值,  即

  2. . 方法是把该极限表达式化为积分, 利用 R—L定理证明相应积分的极限为零.

  3. 于是把问题归结为证明

  4. 这两式的证明是相同的, 只证第一式. 3 为证上述第一式, 先利用三角公式 建立所谓Dirichlet积分

  5. 于是又把上述1中所指的第一式左端化为

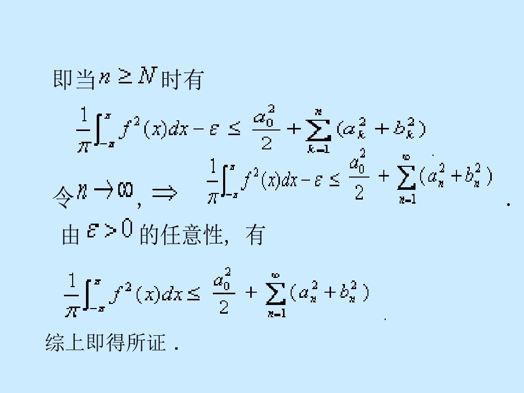
  6. 4    利用所谓Riemann — Lebesgue定理证明上述极限为零. 为此 , 先证明Bessel不等式, 再建立Riemann — Lebesgue定理, 然后把以上最后的式子化为 5    把上式化为应用R — L定理的形式, 即令

  7. 来确定. Dirichlet积分: 证 由三角公式

  8. (1) 若 则

  9. 对于无穷维空间向量表示的傅里叶级数 自然应有 这就是有名的Bessel不等式, 其证明和三维空间中 (1) 式的证明思路完全一样,  都是利用坐标系的正交性.

  10. Parseval等式 ( 或称Ляпинов等式 )

  11. 综上即得所证.

  12. Fourier级数与三角级数的区别:Fourier级数是三角级数,但收敛的三角级数却未必是某个可积函数的Fourier级数. 一个三角级数是Fourier级数( 即是某个可积函数的Fourier级数 ) 的必要条件为:

  13. 法国数学家,出生在一个裁缝家庭,家境贫寒,八岁时成为孤儿,由于才华出众,1790年成为巴黎工科大学教授。1798年参加拿破仑的远征军,回国后当了县地方长官。拿破仑垮台后,失去职务,转向数学研究1827年当选为法国科学院院士。法国数学家,出生在一个裁缝家庭,家境贫寒,八岁时成为孤儿,由于才华出众,1790年成为巴黎工科大学教授。1798年参加拿破仑的远征军,回国后当了县地方长官。拿破仑垮台后,失去职务,转向数学研究1827年当选为法国科学院院士。 傅里叶 ( J.B.J.Fourier  1768.3.21-1830.3.16) 他从1800年开始研究热传导1811年因解答科学院提出的问题而获奖,1822年出版了他的名著《热的分析理论》,把数学成功地应用于物理,引入了热传导方程,并得到在各种边界条件下的解答;他开创了分析的一个重要分支-傅里叶级数,这在数学、物理、工程技术上有广泛应用,对现代数学产生了重大影响。

More Related