chaz
Uploaded by
25 SLIDES
1005 VIEWS
310LIKES

Bioenergetics

DESCRIPTION

Bioenergetics. The tiny hummingbirds can store enough fuel to fly a distance of 500 miles without resting. This achievement is possible because of the ability to convert fuels into the cellular energy currency, ATP. Thermodynamics and Metabolism.

1 / 25

Download Presentation

Bioenergetics

An Image/Link below is provided (as is) to download presentation Download Policy: Content on the Website is provided to you AS IS for your information and personal use and may not be sold / licensed / shared on other websites without getting consent from its author. Content is provided to you AS IS for your information and personal use only. Download presentation by click this link. While downloading, if for some reason you are not able to download a presentation, the publisher may have deleted the file from their server. During download, if you can't get a presentation, the file might be deleted by the publisher.

E N D

Presentation Transcript


  1. Bioenergetics The tiny hummingbirds can store enough fuel to fly a distance of 500 miles without resting. This achievement is possible because of the ability to convert fuels into the cellular energy currency, ATP.

  2. Thermodynamics and Metabolism • A biochemical pathway must satisfy minimally two criteria: • the individual reactions must be specific and • the entire set of reactions that constitute the pathway must be thermodynamically favored. • A reaction that is specific will yield only one particular product or set of products from its reactants. • A function of enzymes is to provide this specificity. • The thermodynamics of metabolism is most readily approached in terms of free energy, G. • A reaction can occur spontaneously only if G, the change in free energy of products and reactants, is negative.

  3. Free-Energy Change • Free-energy change(DG) is a measure of the chemicalenergyavailablefromareaction • DG = Gproducts - Greactants -DG = a spontaneous reaction in the direction written +DG= the reaction is not spontaneous DG= 0 the reaction is at equilibrium

  4. The Standard State (DGo) Conditions • Reaction free-energy depends upon conditions • Standard state (DGo)- defined reference conditions • Standard Temperature = 298K (25oC) • Standard Pressure = 1 atmosphere • Standard Solute Concentration = 1.0M • Biological standard state = DGo’ • Standard H+ concentration = 10-7 (pH = 7.0) rather than 1.0M (pH = 1.0)

  5. For the reaction: A + B C + D Equilibrium Constants and Standard Free-Energy Change DGreaction = DGo’reaction + RT ln([C][D]/[A][B]) Thus, the actual free energy change (G)of a reaction depends on the nature of the reactant and products (expressed by the G°' term, the standard free-energy change) and on their concentrations (the ratio of products to substrates expressed by the second term). R is the gas constant. T is the absolute temperature. • At equilibrium: Keq = [C][D]/[A][B] and DGreaction = 0, so that: DGo’reaction = -RT ln Keq

  6. An important thermodynamic fact is: the overall free-energy change for a chemically coupled series of reactions is equal to the sum of the free-energy changes of the individual steps. A  B G°' = +5 kcal mol-1 B  D G°' = -8 kcal mol-1 A  D G°' = -3 kcal mol-1 Under standard conditions, A cannot be spontaneously converted into B, because G is positive. The conversion of B into D under standard conditions is thermodynamically feasible (G is negative). Because free-energy changes are additive, the conversion of A into D has a G°' = -3 kcal mol-1, which means that it can occur spontaneously under standard conditions.

  7. Thus, a thermodynamically unfavorable reaction can be driven by a thermodynamically favorable reaction to which it is coupled. In the example A  B G°' = +5 kcal mol-1 B  D G°' = -8 kcal mol-1 A  D G°' = -3 kcal mol-1 the chemical intermediate B, common to both reactions, couples the reactions. Thus, metabolic pathways are formed by the coupling of enzyme-catalyzed reactions such that the overall free energy of the pathway is negative.

  8. ATP Is the Universal Currency of Free Energy in Biological Systems The commerce of the cell — metabolism — is facilitated by the use of a common energy currency, adenosine triphosphate (ATP). Energy from oxidation of metabolic fuels is transformed into highly accessible ATP molecule, which acts as the free-energy donor in most energy-requiring processes such as motion, active transport, or biosynthesis.

  9. ATP is a nucleotide consisting of an adenine, a ribose, and a triphosphate unit. The active form of ATP is usually a complex of ATP with Mg2+ or Mn2+.

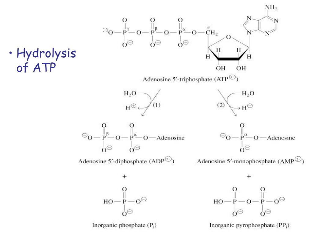
  10. ATP is an “energy-rich” compound • ATP is an energy-rich molecule because its triphosphate unit contains two phosphoanhydride bonds. • A large amount of free energy is liberated when ATP is hydrolyzed to adenosine diphosphate (ADP) and orthophosphate (Pi) or when ATP is hydrolyzed to adenosine monophosphate (AMP) and pyrophosphate (PPi). • ATP + H2O  ADP + Pi G°' = -7.3 kcal mol-1 • ATP + H2O  AMP + PPi G°' = -10.9.3 kcal mol-1 • The precise G°' for these reactions depends on the ionic strength of the medium and on the concentrations of Mg2+ and other metal ions. • Under typical cellular concentrations, the actual G for these hydrolyses is approximately -12 kcal mol-1.

  11. Hydrolysis of ATP

  12. The role of ATP in energy metabolism is paramount. But some biosynthetic reactions are driven by hydrolysis of nucleoside triphosphates that are analogous to ATP — namely, guanosine triphosphate (GTP), uridine triphosphate (UTP), and cytidine triphosphate (CTP). The diphosphate forms of these nucleotides are denoted by GDP, UDP, and CDP, and the monophosphate forms by GMP, UMP, and CMP. Enzymes can catalyze the transfer of the terminal phosphoryl group from one nucleotide to another. All of the nucleotide triphosphates have nearly equal standard free energies of hydrolysis, but ATP is the primary cellular energy carrier.

  13. ATP Hydrolysis Drives Metabolism by Shifting the Equilibrium of Coupled Reactions How does coupling to ATP hydrolysis make possible an otherwise unfavorable reaction? Suppose that the standard free energy of the conversion of compound A into compound B is + 4.0 kcal mol-1. The reaction A  B is thermodynamically unfavorable. A  B G°' = + 4.0 kcal mol-1 DGo’= -RT ln Keq or DGo’= -2.303RT log10 Keq Keq = 10-DGo’/(2.303RT) G°' = + 4.0 kcal mol-1, R = 1.987 x 10-3 kcal mol-1 deg-1, T = 298 K (25oC) The equilibrium constant is related to G°' by: Keq = 10-DGo’/1.36 Keq= [B]/[A] = 1.15 x 10-3 Thus, net conversion of A into B cannot occur when the molar ratio of B to A is equal to or greater than 1.15 X 10-3.

  14. A can be converted into B if the reaction is coupled to the hydrolysis of ATP. A  B G°' = + 4.0 kcal mol-1 ATP + H2O  ADP + Pi G°' = -7.3 kcal mol-1 The new overall reaction is: A + ATP + H2O  B + ADP + Pi + H+ G°' = -3.3 kcal mol-1 The equilibrium constant of this coupled reaction is: Keq= ([B]/[A]) X ([ADP]x[Pi]/[ATP]) Keq = 10-DGo’/1.36 Keq= 103.3/1.36 = 2.67 x 102 At equilibrium, the ratio of [B] to [A] is given by: [B]/[A] = Keq x ([ATP]/[ADP]x[Pi]) The ATP-generating system of cells maintains the [ATP]/[ADP][Pi] ratio at a level of 500 M-1. For this ratio, [B]/[A] = 2.67 x 102 x 500 = 1.34 x 105 which means that the hydrolysis of ATP enables A to be converted into B until the [B]/[A] ratio reaches a value of 1.34 X 105. In the absence of ATP hydrolysis this value was 1.15 X 10-3. Coupling the hydrolysis of ATP with the conversion of A into B has changed the equlibrium ratio of B to A by a factor of about 108.

  15. Thermodynamic essence of ATP's action: ATP acts as an energy coupling agent: A  B G°' = + 4.0 kcal mol-1 ATP + H2O  ADP + PiG°' = -7.3 kcal mol-1 A + ATP + H2O  B + ADP + Pi + H+G°' = -3.3 kcal mol-1 Cells maintain a high level of ATP by using oxidizable substrates or light as sources of free energy. The hydrolysis of an ATP molecule in a coupled reaction then changes the equilibrium ratio of products to reactants by a very large factor, of the order of 108. The hydrolysis of n ATP molecules changes the equilibrium ratio of a coupled reaction by a factor of 108n. For example, the hydrolysis of three ATP molecules in a coupled reaction changes the equilibrium ratio by a factor of 1024. A thermodynamically unfavorable reaction sequence can be converted into a favorable one by coupling it to the hydrolysis of a sufficient number of ATP molecules in a new reaction.

  16. ATP has High Phosphoryl Transfer Potential ATP can transfer the phosphoryl group to many substrates. Compare the standard free energy of hydrolysis of ATP with that of the phosphate ester, glycerol-3-phosphate: ATP + H2O  ADP + PiG°' = -7.3 kcal mol-1 Glycerol 3-phosphate + H2O  glycerol + Pi G°' = -2.2 kcal mol-1 G°' for the hydrolysis of glycerol 3-phosphate is much smaller than that of ATP, which means that ATP has a stronger tendency to transfer its terminal phosphoryl group to water than does glycerol 3-phosphate. ATP has a higher phosphoryl transfer potential (phosphoryl-group transfer potential) than does glycerol 3-phosphate. WHY? What is the structural basis of the high phosphoryl transfer potential of ATP?

  17. The structures of both ATP and its hydrolysis products, ADP and Pi, must be examined to answer this question. Three factors are important: resonance stabilization, electrostatic repulsion, and stabilization due to hydration. 1. ADP and, particularly, Pi, have greater resonance stabilization than does ATP. Orthophosphate has a number of resonance forms of similar energy. Products are more stable than reactants. There are more delocalized electrons on ADP, Pi or AMP, PPi than on ATP.

  18. 2. Electrostatic repulsion among negatively charged oxygens of phosphoanhydrides of ATP. At pH 7, the triphosphate unit of ATP carries about four negative charges. These charges repel one another. The repulsion between them is reduced when ATP is hydrolyzed. 3. Solvation of products (ADP and Pi) or (AMP and PPi) is better than solvation of ATP. Water can bind more effectively to ADP and Pi than it can to the phosphoanhydride part of ATP, stabilizing the ADP and Pi by hydration.

  19. Phosphoryl Transfer Potential Is an Important Form of Cellular Energy Transformation ATP is not the only compound with a high phosphoryl transfer potential. Some compounds in biological systems (phosphoenolpyruvate (PEP), 1,3-bisphosphoglycerate (1,3-BPG), and creatine phosphate) have a higher phosphoryl transfer potential than that of ATP. These compounds can transfer its phosphoryl group to ADP to form ATP. The phosphoryl transfer from PEP and 1,3-BPG is one of the ways in which ATP is generated in living system in the breakdown of carbohydrates - substrate level phosphorylation.

  20. It is significant that ATP has a phosphoryl transfer potential that is intermediate among the biologically important phosphorylated molecules. Standard free energies of hydrolysis of some phosphorylated compounds Compound kcal mol-1 Phosphoenolpyruvate -14.8 1,3-Biphosphoglycerate -11.8 Creatine phosphate -10.3 ATP (to ADP) -7.3 Glucose 1-phosphate - 5.0 Pyrophosphate - 4.6 Glucose 6-phosphate -3.3 Glycerol 3-phosphate - 2.2 Suchintermediate position enables ATP to function efficiently as a carrier of phosphoryl groups.

  21. Creatine phosphate in vertebrate muscle serves as a reservoir of high-potential phosphoryl groups that can be readily transferred to ATP. Creatine phosphate regenerates ADP to ATP every time we exercise strenuously. This reaction is catalyzed by creatine kinase. Creatine kinase Creatine phosphate + ADP + H+ ATP + creatine The amount of ATP in muscle suffices to sustain contractile activity for less than a second. The amount of creatine phosphate, as the major source of phosphoryl groups for ATP regeneration in muscles, is enough to sustain intensive contractile activity for 4 seconds. After that, ATP must be generated through metabolism.

  22. Source of Cellular Energy • In a typical cell, an ATP molecule is consumed within a minute of its formation. • The total quantity of ATP in the body is approximately 100 g, • The turnover of ATP is very high. A resting human being consumes about 40 kg of ATP in 24 hours. • During strenuous exertion, the rate of utilization of ATP may be as high as 0.5 kg/minute. For a 2-hour run, 60 kg of ATP is utilized. It is vital to have mechanisms for regenerating ATP. Motion, active transport, signal amplification, biosynthesis etc. can occur only if ATP is continually regenerated from ADP. The generation of ATP is one of the primary roles of catabolism. The carbon in fuel molecules — such as glucose and fats — is oxidized to CO2, and the energy released is used to regenerate ATP from ADP and Pi.

  23. There are two ways of ATP synthesis in living systems: 1. Oxidative phosphorylation. 2. Substrate-level phosphorylation. Oxidative phosphorylation The electrochemical potential of ion gradients across membranes, produced by the oxidation of fuel molecules, ultimately powers the synthesis of most of the ATP in cells (90% in animal cells). The oxidation of fuels can power the formation of proton gradient. This proton gradient can in turn drive the synthesis of ATP.

  24. Oxidation Substrate-Level Phosphorylation High Phosphoryl Transfer Potential Compounds Can Couple Carbon Oxidation to ATP Synthesis EXAMPLE Glyceraldehyde 3-phosphate is a metabolite of glycolysis Oxidation of the aldehyde to an acid will release energy. However, the oxidation does not take place directly.

  25. The carbon oxidation generates 1,3-bisphosphoglycerate (1,3-BPG). The electrons released are captured by NAD+. 1,3-bisphosphoglycerate has a high phosphoryl transfer potential (standard free energies of 1,3-BPG hydrolysis is -11.8 kcal mol-1). Standard free energies of ATP hydrolysis is -7.3 kcal mol-1. Thus, the cleavage of 1,3-BPG can be coupled to the synthesis of ATP. The oxidation energy of a carbon atom is transformed into phosphoryl transfer potential, first as 1,3-bisphospoglycerate and ultimately as ATP.

More Related