caine
Uploaded by
4 SLIDES
244 VIEWS
40LIKES

Calculator Algebra!

DESCRIPTION

Reminder: Each letter represents a number. p q. p q. 7 4.3. p q. 7 4.3. =. x r. x 11. Calculator Algebra!. p = 7 q = 4.3 r = 11 s = 6.2. use calculator for 7 ÷ 4.3 =. =. copy from calculator display. = 1.62790698. = 1.63. Round. 7 ÷ 4.3 x 11 or 7 x 11 ÷ 4.3.

1 / 4

Download Presentation

Calculator Algebra!

An Image/Link below is provided (as is) to download presentation Download Policy: Content on the Website is provided to you AS IS for your information and personal use and may not be sold / licensed / shared on other websites without getting consent from its author. Content is provided to you AS IS for your information and personal use only. Download presentation by click this link. While downloading, if for some reason you are not able to download a presentation, the publisher may have deleted the file from their server. During download, if you can't get a presentation, the file might be deleted by the publisher.

E N D

Presentation Transcript


  1. Reminder: Each letter represents a number p q p q 7 4.3 p q 7 4.3 = x r x 11 Calculator Algebra! p = 7 q = 4.3 r = 11 s = 6.2 use calculator for 7 ÷ 4.3 = = copy from calculator display = 1.62790698 = 1.63 Round 7 ÷ 4.3 x 11 or 7 x 11 ÷ 4.3 = 17.906977 = 17.9 M May

  2. Reminder: Each letter represents a number 7 7 + 4.3 p p +q 7 - 11 7 + 11 p - r p + r Use Brackets! Estimate 7÷10 < 1 p = 7 q = 4.3 r = 11 s = 6.2 use calculator for 7 ÷ ( 7+ 4.3) = = copy from calculator display = 0.61946703 = 0.62 Round (7 - 11) ÷ (7 +11) = Estimate - 4 ÷20 - 0.2 = - 0.222222222 = - 0.222 M May

  3. 4.3 x 6.2 ( 7 x 4.3 ) 6.2 4.3 x 7 r - s p + q r q p + s q r p + r 6.2 4.3 s q p r s p q 6.2 4.3 s q s q x p x 7 ( 11 - 6.2 ) ( 7 + 4.3 ) 4.3 x 11 ( 7 + 11 ) 11 x 4.3 ( 7 + 6.2 ) Given that p = 7 q = 4.3 r = 11 s = 6.2 find the value of each of the following Remember to estimate too! r ( p + q ) 11 ( 7 + 4.3 ) = 1.44 = 10.1 = 0.206 = 124.3 = 0.886 = 0.425 = 3.58 = 2.63 M May

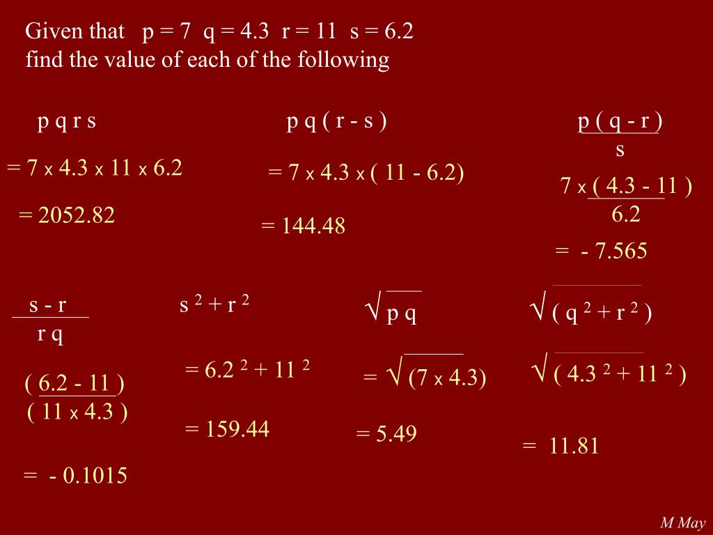
  4. √ ( q 2 + r 2 ) = √ (7 x 4.3) 7 x ( 4.3 - 11 ) 6.2 ( 6.2 - 11 ) ( 11 x 4.3 ) p ( q - r ) s s - r r q √ ( 4.3 2 + 11 2 ) Given that p = 7 q = 4.3 r = 11 s = 6.2 find the value of each of the following p q r s p q ( r - s ) = 7 x 4.3 x 11 x 6.2 = 7 x 4.3 x ( 11 - 6.2) = 2052.82 = 144.48 = - 7.565 s 2 + r 2 √ p q = 6.2 2 + 11 2 = 159.44 = 5.49 = 11.81 = - 0.1015 M May

More Related