bracha
Uploaded by
57 SLIDES
1435 VIEWS
670LIKES

Klein Gordon field

DESCRIPTION

Lagrangian formulation of the Klein Gordon equation. Klein Gordon field. Manifestly Lorentz invariant. }. }. T. V. Classical path :. Euler Lagrange equation. Klein Gordon equation. New symmetries. New symmetries. …an Abelian (U(1)) gauge symmetry. Is invariant under. New symmetries.

1 / 57

Download Presentation

Klein Gordon field

An Image/Link below is provided (as is) to download presentation Download Policy: Content on the Website is provided to you AS IS for your information and personal use and may not be sold / licensed / shared on other websites without getting consent from its author. Content is provided to you AS IS for your information and personal use only. Download presentation by click this link. While downloading, if for some reason you are not able to download a presentation, the publisher may have deleted the file from their server. During download, if you can't get a presentation, the file might be deleted by the publisher.

E N D

Presentation Transcript


  1. Lagrangian formulation of the Klein Gordon equation Klein Gordon field Manifestly Lorentz invariant } } T V Classical path : Euler Lagrange equation Klein Gordon equation

  2. New symmetries

  3. New symmetries …an Abelian (U(1)) gauge symmetry Is invariant under

  4. New symmetries Is not invariant under

  5. New symmetries …an Abelian (U(1)) gauge symmetry Is invariant under

  6. New symmetries …an Abelian (U(1)) gauge symmetry Is invariant under

  7. New symmetries …an Abelian (U(1)) gauge symmetry Is invariant under A symmetry implies a conserved current and charge. e.g. Translation Momentum conservation Angular momentum conservation Rotation

  8. New symmetries …an Abelian (U(1)) gauge symmetry Is invariant under A symmetry implies a conserved current and charge. e.g. Translation Momentum conservation Angular momentum conservation Rotation What conservation law does the U(1) invariance imply?

  9. Noether current …an Abelian (U(1)) gauge symmetry Is invariant under

  10. Noether current …an Abelian (U(1)) gauge symmetry Is invariant under

  11. Noether current …an Abelian (U(1)) gauge symmetry Is invariant under

  12. Noether current …an Abelian (U(1)) gauge symmetry Is invariant under

  13. Noether current …an Abelian (U(1)) gauge symmetry Is invariant under 0 (Euler lagrange eqs.)

  14. Noether current …an Abelian (U(1)) gauge symmetry Is invariant under 0 (Euler lagrange eqs.) Noether current

  15. The Klein Gordon current …an Abelian (U(1)) gauge symmetry Is invariant under

  16. The Klein Gordon current …an Abelian (U(1)) gauge symmetry Is invariant under

  17. The Klein Gordon current …an Abelian (U(1)) gauge symmetry Is invariant under This is of the form of the electromagnetic current we used for the KG field

  18. The Klein Gordon current …an Abelian (U(1)) gauge symmetry Is invariant under This is of the form of the electromagnetic current we used for the KG field is the associated conserved charge

  19. Suppose we have two fields with different U(1) charges : ..no cross terms possible (corresponding to charge conservation)

  20. Additional terms

  21. Additional terms } Renormalisable

  22. Additional terms } Renormalisable

  23. U(1) local gauge invariance and QED

  24. U(1) local gauge invariance and QED

  25. U(1) local gauge invariance and QED not invariant due to derivatives

  26. U(1) local gauge invariance and QED not invariant due to derivatives To obtain invariant Lagrangian look for a modified derivative transforming covariantly

  27. U(1) local gauge invariance and QED not invariant due to derivatives To obtain invariant Lagrangian look for a modified derivative transforming covariantly Need to introduce a new vector field

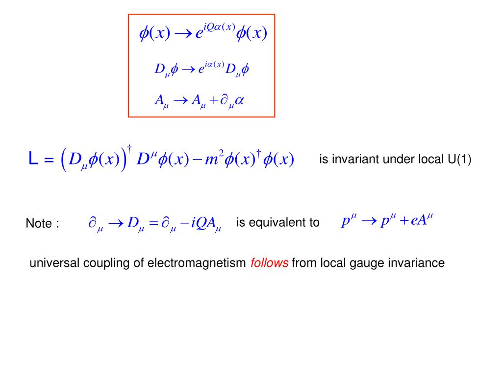
  28. is invariant under local U(1)

  29. is invariant under local U(1) is equivalent to Note : universal coupling of electromagnetism follows from local gauge invariance

  30. is invariant under local U(1) is equivalent to Note : universal coupling of electromagnetism follows from local gauge invariance The Euler lagrange equation give the KG equation:

  31. is invariant under local U(1) is equivalent to Note : universal coupling of electromagnetism follows from local gauge invariance

  32. The electromagnetic Lagrangian

  33. The electromagnetic Lagrangian

  34. The electromagnetic Lagrangian

  35. The electromagnetic Lagrangian

  36. The electromagnetic Lagrangian Forbidden by gauge invariance

  37. The electromagnetic Lagrangian Forbidden by gauge invariance The Euler-Lagrange equations give Maxwell equations !

  38. The electromagnetic Lagrangian Forbidden by gauge invariance The Euler-Lagrange equations give Maxwell equations !

  39. The electromagnetic Lagrangian Forbidden by gauge invariance The Euler-Lagrange equations give Maxwell equations ! EM dynamics follows from a local gauge symmetry!!

  40. The photon propagator The propagators determined by terms quadratic in the fields, using the Euler Lagrange equations.

  41. The Klein Gordon propagator (reminder) In momentum space: With normalisation convention used in Feynman rules = inverse of momentum space operator multiplied by -i

  42. The photon propagator The propagators determined by terms quadratic in the fields, using the Euler Lagrange equations.

  43. The photon propagator The propagators determined by terms quadratic in the fields, using the Euler Lagrange equations. Gauge ambiguity

  44. The photon propagator The propagators determined by terms quadratic in the fields, using the Euler Lagrange equations. Gauge ambiguity

  45. The photon propagator The propagators determined by terms quadratic in the fields, using the Euler Lagrange equations. Gauge ambiguity i.e. with suitable “gauge” choice of α (“ξ” gauge) want to solve

  46. The photon propagator The propagators determined by terms quadratic in the fields, using the Euler Lagrange equations. Gauge ambiguity i.e. with suitable “gauge” choice of α (“ξ” gauge) want to solve In momentum space the photon propagator is (‘t Hooft Feynman gauge ξ=1)

  47. Extension to non-Abelian symmetry

  48. Extension to non-Abelian symmetry

  49. Extension to non-Abelian symmetry where

More Related