1 / 25

4029 u-du : Integrating Composite Functions

4029 u-du : Integrating Composite Functions. AP Calculus. Find the derivative. dx/du-part of the antiderivative. Integrating Composite Functions (Chain Rule ) Revisit the Chain Rule If let u = inside function du = derivative of the inside becomes. u-du Substitution.

aqua
Download Presentation

4029 u-du : Integrating Composite Functions

An Image/Link below is provided (as is) to download presentation Download Policy: Content on the Website is provided to you AS IS for your information and personal use and may not be sold / licensed / shared on other websites without getting consent from its author. Content is provided to you AS IS for your information and personal use only. Download presentation by click this link. While downloading, if for some reason you are not able to download a presentation, the publisher may have deleted the file from their server. During download, if you can't get a presentation, the file might be deleted by the publisher.

E N D

Presentation Transcript


  1. 4029 u-du:Integrating Composite Functions AP Calculus

  2. Find the derivative dx/du-part of the antiderivative

  3. Integrating Composite Functions (Chain Rule) Revisit the Chain Rule If letu = inside function du = derivative of the inside becomes u-du Substitution

  4. USING u-du Substitutiona Visual Aid REM: u = inside function du = derivative of the inside let u = becomes now only working with f , the outside function A Visual Aid

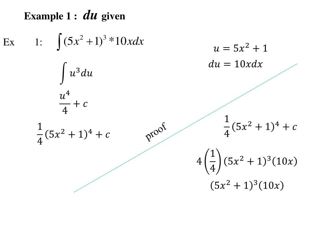
  5. Example 1 : du given Ex 1: proof

  6. Example 2: du given Ex 2:

  7. Example 3: du given Ex 3:

  8. Example 4: du given Ex 4: Derivative only Function and derivative Both ways !

  9. Example 5: Regular Method Ex 5:

  10. Working with Constants < multiplying by one> Constant Property of Integration ILL. let u = du = and becomes = Or alternately = =

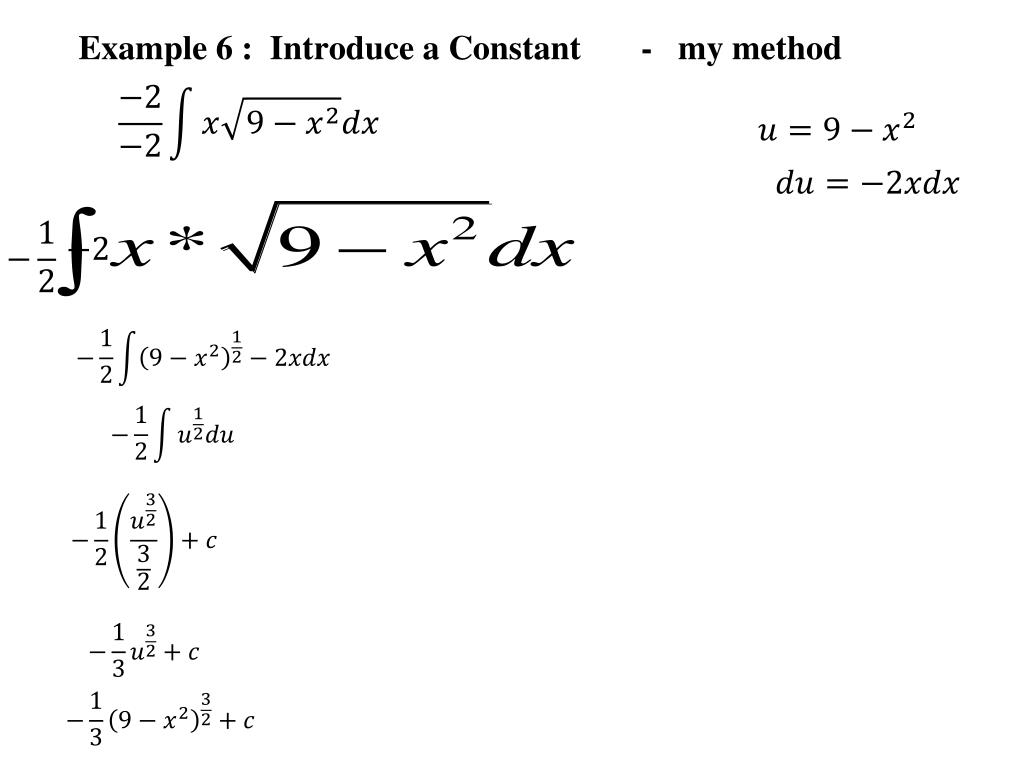
  11. Example 6 : Introduce a Constant - my method

  12. Example 7 : Introduce a Constant

  13. Example 8 : Introduce a Constant << triple chain>>

  14. You is what You is inside Example 9 : Introduce a Constant - extra constant << extra constant>

  15. Example 10: Polynomial

  16. Example 11: Separate the numerator

  17. Formal Change of Variables << the Extra “x”>> ILL: Let Solve for x in terms of u then and becomes

  18. Formal Change of Variables << the Extra “x”>> Rewrite in terms of u - du

  19. Assignment Day 1 Worksheet Larson HW 4029 Day 2 Basic Integration Rules Wksht extra x Larson 4029 58f anti for tan /cot Text p. 338 # 18 - 52 (3x)

  20. Integrating Composite Functions (Chain Rule) Remember: Derivatives Rules Remember: Layman’s Description of Antiderivatives *2nd meaning of “du” du is the derivative of an implicit “u”

  21. Development must have the derivative of the inside in order to find the antiderivative of the outside *2nd meaning of “dx” dx is the derivative of an implicit “x” more later if x = f then dx = f /

  22. Development from the layman’s idea of antiderivative “The Family of functions that has the given derivative” must have the derivative of the inside in order to find ---------- the antiderivative of the outside

  23. Working With Constants: Constant Property of Integration With u-du Substitution REM: u = inside function du = derivative of the inside Missing Constant? u = du = Worksheet - Part 1

More Related