annona
Uploaded by
17 SLIDES
462 VIEWS
170LIKES

Section 4.3

DESCRIPTION

Section 4.3. Let u = x 2 +1. Then du = 2x dx and the integral becomes. And reversing the substitution yields:. ∫ e u du = e u + C. Let u = x 5 . Then du = 5x 4 dx and the integral becomes. And reversing the substitution yields:.

1 / 17

Download Presentation

Section 4.3

An Image/Link below is provided (as is) to download presentation Download Policy: Content on the Website is provided to you AS IS for your information and personal use and may not be sold / licensed / shared on other websites without getting consent from its author. Content is provided to you AS IS for your information and personal use only. Download presentation by click this link. While downloading, if for some reason you are not able to download a presentation, the publisher may have deleted the file from their server. During download, if you can't get a presentation, the file might be deleted by the publisher.

E N D

Presentation Transcript


  1. Section 4.3 Let u = x 2 +1. Then du = 2x dx and the integral becomes And reversing the substitution yields:

  2. ∫ e u du = e u + C Let u = x 5 . Then du = 5x4 dx and the integral becomes And reversing the substitution yields:

  3. Let u = x 4 - 16. Then du = 4x3 dx and we need to make an adjustment for the 4. And then the integral becomes

  4. ∫ e u du = e u + C Let u = 3x. Then du = 3 dx and we need to make an adjustment for the 3. And then the integral becomes

  5. Let u = 1 + 5x. Then du = 5 dx and we need to make an adjustment for the 5. And then the integral becomes

  6. Let u = x 4 + 16. Then du = 4 x 3 dx and we need to make an adjustment for the 4. And then the integral becomes

  7. Let u = 2x 2 + 4x. Then du = 4x +4 dx = 4(x + 1) dx and we need to make an adjustment for the 4. And then the integral becomes

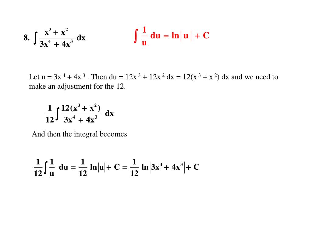
  8. Let u = 3x 4 + 4x 3 . Then du = 12x 3 + 12x 2 dx = 12(x 3 + x 2) dx and we need to make an adjustment for the 12. And then the integral becomes

  9. Let u = 1 – x 2. Then du = - 2x dx and we need to make an adjustment for the - 2. And then the integral becomes

  10. Let u = e 2x + 1. Then du = 2e 2x dx and we need to make an adjustment for the 2. And then the integral becomes

  11. Let u = ln x. Then du = 1/x dx. And then the integral becomes

  12. This one is a little different. We need to do a little algebra first. Distribute the x 2.

  13. 13. BUSINESS: Cost – The weekly marginal cost of producing shoes is given by C’ (x) = 12 + 500/(x + 1) where C (x) is the cost in dollars. If the fixed cost are $2,000 per week, find the cost function. Step 1: Integrate C’ to find C. Let u = x + 1 then du = dx and the integral becomes Step 2: Find C. The fixed cost are 2000 or C(x) = 2000 when x = 0.

  14. 14. BUSINESS: Price-demand – The marginal price p’ (x) at x boxes of a certain cereal per week is given by p’ (x) = - 0.015e -.01x . Find the price equation if the weekly demand is 50 boxes when the price is $4.35. Step 1: Integrate p’ to find p. Let u = - 0.01x then du = - 0.01 and the integral becomes And integration yields Step 2: Find p (x). At a price of $4.35, 50 boxes are sold, so

  15. 15. MEDICINE – The rate of healing for a skin wound (in square centimeters per day) is approximated by A’ (t) = - 0.9e -0.1t . If the initial wound has an area of 8 square centimeters, what will its area be after t days? After 5 days? Step 1: Integrate A’ to find A. Let u = - 0.1 t then du = - 0.1 dt and the integral becomes Step 2: Find C. The size of an initial wound is 8 when x = 0. Step 3. Find A (5)

  16. POLLUTION - A contaminated lake is treated with a bactericide. The rate of increase in harmful bacteria t days after the treatment is given by • Where N (t) is the number of bacteria per milliliter of water. • Find the minimum value of dN/dt. • If the initial count was 5,000 bacteria per milliliter, find N (t). • Find the bacteria count after 10 days. • Use your calculator to minimize the given function. • The minimum value is – 1000. b. Integrate dN/dt ’ to find N. Let u = 1 + t 2 then du = 2t dt and the integral becomes CONTINUED

  17. Find C. The initial count was 5000 when t = 0. c. Find N (10). 10 days after treatment the bacteria count will be 385 bacteria per milliliter of water.

More Related